Ingreso laboral y remesas: ¿el flujo de remesas afecta el ingreso laboral de los hogares?
Labor Earnings and Remittance Inflows: Do Remittances Affect Household Labor Income?
Juan Luis Orellana
Universidad de Cuenca (Ecuador)
https://orcid.org/0000-0001-6611-7373
jluis.orellanar@ucuenca.edu.ec
Kerly Elizalde
Universidad de Cuenca (Ecuador)
https://orcid.org/0000-0002-2472-4949
César Andrés Mendoza
Universidad Católica de Cuenca (Ecuador)
https://orcid.org/0000-0003-3106-6742
cesarandres.mendoza@ucacue.edu.ec
Cristian Delgado-Bello
Universidad San Sebastián (Chile)
https://orcid.org/0000-0001-9702-9384
RESUMEN
Esta investigación busca determinar el efecto de las remesas provenientes del extranjero sobre el ingreso laboral de los hogares ecuatorianos, mediante un enfoque distribucional usando regresiones cuantílicas. Para reducir la presencia de sesgo de selección, se emparejaron los datos en características observables a través del Propensity Score Matching y el Coarsened Exact Matching. La fuente de información empleada fue la Encuesta Nacional de Empleo, Desempleo y Subempleo (ENEMDU) para los años 2015 y 2020. Los resultados evidencian un efecto negativo de las remesas en los ingresos laborales, particularmente en los deciles bajos y medios, es decir, un efecto heterogéneo en la distribución. Esto sugiere que las remesas podrían desincentivar la participación laboral en estos deciles. Estos hallazgos tienen implicancias relevantes para el diseño de políticas públicas que busquen fortalecer la inserción laboral y mejorar la calidad del empleo entre los hogares receptores de remesas en contextos de alta vulnerabilidad socioeconómica.
PALABRAS CLAVE
Remesas; ingresos laborales; mercado laboral; regresión cuantílica.
ABSTRACT
This study aims to determine the effect of remittances from abroad on the labor income of Ecuadorian households, using a distributional approach through quantile regressions. To reduce selection bias, data were matched on observable characteristics using Propensity Score Matching and Coarsened Exact Matching. The analysis draws on data from the National Survey of Employment, Unemployment, and Underemployment (ENEMDU) for the years 2015 and 2020. The results show a negative effect of remittances on labor income, particularly among households in the lower and middle deciles, indicating a heterogeneous effect across the income distribution. This suggests that remittances may discourage labor market participation in these segments. These findings have important implications for the design of public policies aimed at strengthening labor market integration and improving job quality among remittance-receiving households in contexts of high socioeconomic vulnerability
KEYWORDS
Remittances; labor income; labor market; quantile regression.
Clasificación JEL: F22, F24, J22, O15.
MSC2010: 91B39.
1. Introducción
La migración internacional y las remesas han experimentado un crecimiento notable en las últimas décadas, consolidándose como fenómenos de gran relevancia económica y social. Según datos de la Organización para la Cooperación y el Desarrollo Económico (OCDE), en 2023 la migración legal a los países más ricos alcanzó un máximo histórico, con alrededor de 6,5 millones de personas trasladándose a los 38 países de la OCDE, lo que supone un incremento del 10 % respecto al 2022. Este incremento en la movilidad ha venido acompañado de un aumento significativo en el flujo de remesas. En 2022, las remesas internacionales evidenciaron un crecimiento del 650 % desde el año 2000 (Ratha et al. 2024). En su mayoría, los flujos fueron enviados a países de ingresos bajos y medios, incluso superando en algunos países a la inversión extranjera directa (McAuliffe & Triandafyllidou, 2021).
Ecuador se ha caracterizado por ser, históricamente, un país de emigración. Diversos acontecimientos socioeconómicos y políticos han dado origen a flujos de emigración. Como, por ejemplo, los experimentados en la década de los 80s y 90s, los que iniciaron uno de los mayores flujos migratorios de los ecuatorianos a diferentes destinos, en especial hacia Estados Unidos y España, convirtiéndose la emigración en la nueva estrategia de muchas familias para buscar nuevas oportunidades y salir de la profunda crisis en la que se encontraban inmersas (Villa Camacho, 2015). Las remesas se han convertido en un flujo de ingresos cada vez más importante, no solo para los hogares ecuatorianos, sino también, para la economía en su conjunto. A saber, según datos del Banco Central del Ecuador en 2023, el país recibió un monto récord de USD 5.447,5 millones por concepto de remesas, lo que representó el valor más alto en los últimos 16 años. Este monto significó un crecimiento del 6,8 % en comparación con 2022. Es así como, en el año 2023 las remesas representaron aproximadamente el 4,6 % del PIB. Este incremento refleja no solo un mayor flujo de envíos desde el exterior, sino también la dependencia de las familias y de la economía ecuatoriana de las remesas.
Las transferencias monetarias, derivadas de los procesos de movilidad humana, causan una serie de impactos en distintas áreas socioeconómicas; en la pobreza, la desigualdad, la educación, y especialmente, en el mercado laboral. En esta última, las remesas tienen una estrecha relación con el modelo renta-ocio (Varian, 1994) y el salario de reserva (Acosta, 2006; Acosta, Lartey, & Mandelman, 2009; Azizi, 2019). El salario de reserva es aquel salario por encima del cual al individuo está dispuesto a trabajar o a participar del mercado laboral. En el contexto migratorio, el salario de reserva indica que las personas que reciben transferencias del exterior trabajarán si el mercado oferta un salario cuanto menos igual a su salario de reserva. Por ende, las remesas podrían provocar en los miembros del hogar que no migran y que se encuentran en edad de trabajar, la elección entre participar en el mercado laboral, no participar o realizar actividades no remuneradas (trabajo doméstico, agricultura de subsistencia, etc.).
La literatura ha abordado el papel de las remesas en el mercado laboral, centrándose en su impacto sobre la participación laboral, medido a través de variables como las horas trabajadas y la intención de participación en la fuerza laboral (Zhushi & Qehaja, 2024b). Prestando poca atención, al efecto que las remesas pueden tener en los ingresos, y a su vez en la distribución de estos. Cuando las remesas pueden modificar los ingresos laborales de los hogares, probablemente en distinta medida, dependiendo del percentil de ingresos. Según la Encuesta Nacional de Empleo, Desempleo y Subempleo (ENEMDU) 2020, en las familias que reciben flujos del exterior del primer quintil, las remesas representan el 45 % del ingreso total, mientras que, en las unidades familiares con ingresos altos, las remesas constituyen una renta fija adicional que, en la mayoría de los casos, no cambiará la situación socioeconómica de estos hogares, ya que este ítem no representa más del 8 % del total de ingresos familiares en el último quintil, en consecuencia, el efecto de las remesas en los ingresos laborales tendería a ser menos representativo.
A partir de lo anterior, el propósito de la presente investigación es determinar sí existe un efecto distribucional de las remesas internacionales en los ingresos laborales de los hogares ecuatorianos, tomando dos puntos en el tiempo como comparación (2015 y 2020), para lo cual se usaron regresiones cuantílicas de corte transversal, donde la variable dependiente será los ingresos laborales y la condición de tratamiento se asignará a quienes reciben remesas. A priori, se esperará que, en los cuantiles más bajos la recepción de remesas tenga un impacto negativo más fuerte sobre el salario. Nótese que nuestra investigación, aportará con importante evidencia empírica que relacione a las remesas con el mercado laboral, metodológicamente destacamos: i. el uso de un enfoque distribucional que permitirá analizar los efectos de las remesas a través de la distribución de los ingresos, tomando en cuenta de esta manera el contexto económico y social bajo el cual cada hogar toma sus decisiones; ii. la utilización de dos diferentes tipos de tratamiento (logaritmo del monto recibido de remesas y una variable dicotómica que toma el valor de 1 si el hogar recibe remesas), lo que permitirá confirmar cuan robustos son los resultados; iii. debido al posible sesgo de selección en las estimaciones, utilizamos dos métodos de emparejamiento de datos, el Propensity Score Matching (PSM) y el Coarsened Exact Matching (CEM), lo cual se realizó previo a la estimación de las regresiones cuantílicas. Con el objeto de corregir la heterocedasticidad, los errores estándar se clusterizaron por provincia en todas las especificaciones estimadas. Nuestras estimaciones emplearon información a nivel de hogar tomada de la Encuesta Nacional de Empleo, Desempleo y Subempleo (ENEMDU).
A continuación, se presentan las siguientes secciones del artículo: revisión de la literatura, métodos y datos que incluye un apartado metodología y otro de variables y datos; continuamos con los resultados, y finalmente, la discusión y conclusiones.
2. REVISIÓN DE LA LITERATURA
El impacto económico de la migración en los patrones de empleo de los no migrantes ha sido documentado en diversas economías. Generalmente, los estudios sobre las respuestas de los hogares a la migración internacional identifican una disminución en la participación en la fuerza laboral, junto con otros efectos y algunos matices por subgrupos poblacionales. Por ejemplo, Funkhouser (1992) analizó el caso de Nicaragua y encontró que las remesas generan un efecto ingreso negativo en la participación laboral y un efecto positivo, aunque pequeño, en el autoempleo de los no migrantes. Rodriguez and Tiongson (2001) y Hanson (2007) utilizando datos de Manila y México, respectivamente, corroboran estas conclusiones. Sin embargo, Hanson en particular, interpreta dicho resultado como evidencia de una creciente especialización intrafamiliar 1; aunque advierte sobre los problemas de autoselección asociados a la migración. Investigaciones recientes, profundizan en subgrupos y efectos derivados de las remesas. Ademe Ayalew and Mohanty (2022) para Etiopia, reportaron que las remesas externas reducen la participación laboral en áreas urbanas, pero la incrementan en zonas rurales. Habib (2023), desarrolló un modelo teórico aplicado a Túnez, concluyendo que las remesas incrementan el desempleo estructural debido a una reducción en la oferta laboral. En Kosovo, Zhushi and Qehaja (2024a) identificó que las remesas desincentivan la participación laboral, pero aumentan los ingresos.
Otros estudios han examinado los efectos diferenciados de las remesas según el género. Cabegin (2006) para Filipinas encontró que la migración masculina aumenta la participación laboral femenina, mientras que las remesas enviadas por mujeres migrantes están asociadas con una menor participación laboral de los hombres, especialmente en empleo remunerado a tiempo completo. En Albania, Mendola and Carletto (2009) evidenciaron que la migración reduce la oferta de mano de obra remunerada femenina, pero aumenta el trabajo no remunerado en el hogar. Asiedu and Chimbar (2020), observaron que las remesas disminuyen la participación laboral tanto masculina como femenina, aunque el efecto es más pronunciado en mujeres de áreas rurales. Igualmente, Zhushi and Qehaja (2024a), reporta que las remesas refuerzan los roles tradicionales de género, especialmente en culturas como la de Kosovo, donde las mujeres que reciben remesas tienden a dedicarse a actividades no remuneradas. Si bien, el efecto de las remesas en la participación laboral femenina generalmente es negativo, la magnitud del efecto puede variar según el contexto de estudio, e incluso, en algunos casos donde las normas culturales de género son menos restrictivas, el efecto negativo se puede invertir.
En América Latina, Acosta, Fajnzylber, and López (2008) estudiaron el impacto de las remesas en 11 países de la región y concluyeron que estas reducen tanto las horas trabajadas como la participación en la fuerza laboral, particularmente entre personas con bajos niveles educativos. Carare, Baratas, Kilembe, Hadzi-Vaskov, and Zhang (2024) corroboraron estos resultados, destacando que, aunque las remesas disminuyen la participación laboral, contribuyen parcialmente al crecimiento económico de los países receptores. En Ecuador, Aguilar (2008) evaluó el impacto de las remesas sobre las horas trabajadas y la participación laboral de adultos entre 18 y 65 años, utilizando un modelo tobit instrumental y un modelo probabilístico instrumental. Los resultados indican que las remesas reducen tanto las horas trabajadas como la probabilidad de participar en el mercado laboral. Por otro lado, Burgos (2014) se centró en las decisiones laborales de las mujeres, encontrando un efecto negativo de las remesas sobre la participación, aunque este no fue estadísticamente significativo. Adicionalmente, Bertoli and Marchetta (2014) señalan que las remesas reducen significativamente la pobreza de los hogares receptores, aunque con algunas limitaciones estructurales. Sin embargo, y particularmente en las áreas rurales, las remesas reproducen las desigualdades económicas existentes en lugar de reducirlas (Mata-Codesal, 2018). Por otra parte, y en relación con los flujos de remesas, Vacaflores (2018) y Llerena, Jiménez, Izurieta, and Moranes (2022) concluyen que los flujos de remesas del Ecuador están condicionados a los agregados macroeconómicos de los principales países receptores de inmigrantes.
Desde la perspectiva teórica neoclásica, la relación entre remesas y participación laboral se analiza mediante el modelo renta-ocio. Este modelo plantea que las decisiones sobre las horas trabajadas son el resultado de maximizar la utilidad derivada del consumo de bienes (ingreso laboral) y ocio, sujeto a restricciones presupuestarias. El ocio incluye actividades no remuneradas como la educación, el trabajo doméstico y el descanso. Las restricciones presupuestarias están determinadas por el salario de mercado, las horas trabajadas y los ingresos no laborales (Varian, 1994). En este marco, las remesas generan un efecto renta al aumentar los ingresos no laborales, lo que expande las posibilidades presupuestarias y permite un mayor consumo de bienes y ocio, reduciendo así las horas trabajadas. Este planteamiento ha sido utilizado por diversos estudios (Ademe Ayalew & Mohanty, 2022; Azizi, 2018; Habib, 2023; Mukhtarova et al., 2024; Murakami, Yamada, & Sioson, 2021; Thapa & Acharya, 2017)
El concepto de salario de reserva, derivado del modelo renta-ocio, es fundamental para entender las decisiones de participación laboral. Este salario representa el ingreso mínimo adicional necesario para que un individuo renuncie al ocio y decida trabajar (Duran, 2005). Uno de sus principales determinantes es el ingreso no laboral, el cual depende de los activos propios del individuo y del ingreso de los demás miembros del hogar. Un mayor nivel de ingresos en el hogar eleva el salario de reserva del individuo, reduciendo su disposición a participar en el mercado laboral. Por ello, las remesas sostenidas incrementan indirectamente el salario de reserva y disminuyen la oferta laboral (Ademe Ayalew & Mohanty, 2022; Bertoli & Marchetta, 2014). Sin embargo, la magnitud de este efecto varía según el contexto sociocultural y demográfico.
En contextos donde el ocio se considera un bien normal (deseable), las remesas tienden a generar un efecto ingreso que supera al efecto sustitución, disminuyendo la participación laboral y reduciendo las horas trabajadas. Este fenómeno tiene un impacto significativo en el mercado laboral a largo plazo, ya que incrementa el salario de reserva o el umbral necesario para aceptar empleos de baja remuneración (Fromentin & Leon, 2019). Este efecto en el salario de reserva es más evidente en áreas con oportunidades laborales limitadas (Mata-Codesal, 2018). Mukhtarova et al. (2024) señala que este impacto es particularmente relevante entre jóvenes y personas con altos niveles educativos, quienes tienden a priorizar actividades como la educación o el perfeccionamiento personal. De manera similar, Abbots (2012) y Zhushi and Qehaja (2024b) concluyen que las remesas elevan el salario de reserva, especialmente en mujeres y jóvenes, al proporcionar ingresos que disminuyen la necesidad de participar en empleos mal remunerados. En el caso de las mujeres, el efecto de las remesas está profundamente influenciado por los roles tradicionales de género en las culturas receptoras.
Aunque la teoría predice que las remesas tienen un efecto negativo en la oferta laboral, la evidencia empírica presenta algunos resultados ambiguos. En hogares con migrantes, la movilidad internacional puede influir en las decisiones laborales a través de dos mecanismos principales. Primero, las remesas pueden generar una respuesta competitiva en la oferta de trabajo. Por un lado, estas transferencias permiten a los miembros del hogar participar en actividades económicas de mayor riesgo y rendimiento al aliviar las restricciones financieras. Si este efecto prevalece, la migración puede fomentar la diversificación económica y aumentar los ingresos locales a largo plazo (Démurger, 2015). Por otro lado, el ingreso adicional proveniente de las remesas puede reducir los incentivos laborales de los familiares no migrantes, particularmente al generar un “efecto ingreso”. Este fenómeno incrementa la demanda de ocio y eleva el salario de reserva, lo que reduce el costo de oportunidad del ocio y, por ende, disminuye la participación laboral (Amuedo-Dorantes & Pozo, 2006). En algunos casos, este incremento en los ingresos por remesas puede derivar en una dependencia económica excesiva entre los receptores a largo plazo (Acosta, Ozden, & Schiff, 2007).
Adicionalmente, la emigración tiene un impacto directo en el tamaño de la fuerza laboral, lo que puede generar una presión al alza sobre los salarios locales y un “efecto de sustitución” del ocio, incentivando la oferta laboral en áreas con altas tasas de migración (Acosta et al., 2008). Sin embargo, en mercados laborales imperfectos, como los de muchos países en desarrollo, las familias que permanecen en el lugar de origen no logran compensar a corto plazo la pérdida de mano de obra. En las áreas rurales, la pérdida de mano de obra debido a la migración puede obligar a otros miembros de la familia a aumentar su dedicación a la agricultura de subsistencia. Además, la emigración de un miembro económicamente activo puede generar una carga significativa para quienes permanecen, al tener que compensar la pérdida laboral y asumir más responsabilidades domésticas (Démurger, 2015).
En resumen, la revisión de la literatura sugiere que las remesas generalmente tienen efectos negativos en la oferta laboral. Principalmente asociados al efecto renta y al incremento en el salario de reserva. Sin embargo, estos efectos son complejos, puesto que varían según el contexto cultural, económico y social. Al mismo tiempo, la literatura ha prestado poca atención al efecto de las remesas en los ingresos laborales, así como a los efectos distribucionales. Esto resalta la importancia de estudios empíricos detallados que incorporen estos elementos, junto con metodologías que permitan capturar de forma más clara la diversidad de impactos de las remesas en los mercados laborales.
3. MÉTODOS Y DATOS
3.1. Metodología
Este apartado aborda el instrumental metodológico necesario para encontrar el efecto distribucional de las remesas sobre los ingresos laborales en los hogares ecuatorianos entre los años 2015 y 2020.
3.1.1 Regresión Cuantílica
La metodología planteada para esta investigación es la regresión cuantílica, introducida por Koenker and Bassett (1978), que proporciona la información sobre la relación entre la variable dependiente y sus regresoras en diferentes puntos de la distribución condicional de (Cameron & Trivedi, 2009). Su argumento principal radica en que los estimadores de mínimos cuadrados ordinarios pueden tener grandes falencias en modelos lineales con una distribución de errores no Gaussiana o con distribuciones de cola larga (con contaminación de datos atípicos). Esto es particularmente relevante en el estudio de fenómenos con efectos diferenciados por niveles en la distribución. Tal es el caso, de las remesas que evidencian un impacto que puede diferir en los distintos niveles de la distribución de ingresos (Pardo Montaño & Dávila Cervantes, 2021). De esta forma, la regresión cuantílica permite analizar cómo las remesas afectan a distintos grupos dentro de la distribución de ingresos, en contraste con los modelos de regresión tradicionales que se enfocan únicamente en el efecto promedio. El método de estimación utilizado por los autores se denomina como, desviación mínima absoluta o LAD, por sus siglas en inglés, esta herramienta ajusta las medianas a una función lineal de covariables.
Su planteamiento matemático, descrito en Buchinsky (1998), se detalla a continuación.
Sea (yi,x_i ),i=1,….,n es una muestra de alguna población, donde xi es un vector de dimensión k x 1, además se asume que:

Que se puede reescribir como:

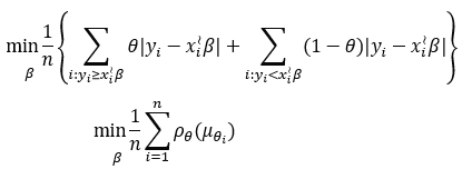
Donde Quantθ (yi│xi ) es el cuantil condicional de yi , condicionado al vector de regresores xi. Si Fμθ (∙) sería conocida, se podría utilizar varias técnicas para estimar βθ ; sin embargo, la distribución del término de error μθi no está especificada. Únicamente se asume en (1), que μθi cumple la restricción cuantílica de Quantθ (μθi│xi )=0.
De forma general, el θ- ésimo cuantil muestral (0<θ<1) de y, se resuelve:

De
, estimador de βθ en (1), se resuelve:
(2)

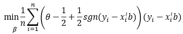
Donde ρθ (λ)=(θ-I(λ<0)), λ es la función de verificación e I(∙) es la función indicadora habitual. El problema de regresión cuantílica anterior se puede reescribir como:

De (3) se obtiene el siguiente vector k x 1 de las condiciones de primer orden (CPO):
(4)

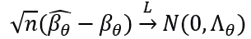
El vector de CPO puede encajar dentro de una función de momentos GMM de acuerdo a:

La validez de ψ(∙) en (5) como una función de momentos se cumple bajo la condición de regularidad E[ψ(xi,yi,βθ )]=0. En el marco de GMM se puede, en condiciones de regularidad, establecer consistencia y normalidad asintótica de
, estimador de βθ, tal que:

Donde
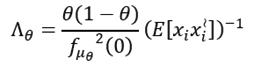
. Si fμθ (0│x)= fμθ (0) con probabilidad de 1, es decir, la función de densidad del término de error μθ evaluado en cero es independiente de x, entonces Λθ puede simplificarse en:

La estimación de varias regresiones cuantílicas, en distintos puntos de la distribución condicional, se obtienen utilizando los mismos datos en diferentes esquemas de ponderación.
La explicación de los coeficientes cuantílicos se pueden interpretar de la siguiente forma. Siendo la derivada parcial del cuantil condicional y, respecto a uno de sus xj regresores, es decir:

Esta derivada será interpretada como la variación marginal en el θ- ésimo cuantil condicional debido a un cambio marginal en el j-ésimo elemento de x. Si x contiene k variables distintas, entonces la derivada viene dada por el coeficiente βθj. De manera adicional, Parente and Santos Silva (2016) obtienen un estimador asintótico 2 consistente de Regresión Cuantílica ante la existencia de correlación entre grupos y una prueba de hipótesis sobre la presencia de correlación entre clústeres. Se usa esta alternativa, que permite la estimación de una matriz de correlación asintóticamente consistente con correlación entre grupos, ya que existe mayor densidad migratoria en la región sur del país (Azuay, Cañar, Loja, Zamora Chinchipe, Morona Santiago).
Considerando que la selección de los hogares que reciben remesas no es aleatoria y que existe un acceso diferencial a la migración (Bang, Mitra, & Wunnava, 2016), es necesario implementar enfoques para disminuir el sesgo de selección en la estimación del efecto promedio del tratamiento. Entre los enfoques de evaluación que como proponen Khandker, Koolwal, and Samad (2010) se encuentran las técnicas de emparejamiento de datos que asumen que el sesgo de selección se encuentra basados en características observables de los individuos. A continuación, se detallan dos tipos de emparejamiento de datos que se emplean en la presente investigación.
3.1.2 Propensity Score Matching
El Emparejamiento de Puntuación de Propensión o PSM (por sus siglas en inglés) se basa en la construcción de un grupo de comparación estadístico en base a un modelo de probabilidad en la participación de un tratamiento, considerando características observadas, con el propósito de obtener el efecto del programa. El método PSM empareja a los individuos en base a la probabilidad de participar, condicionada a las características observables y evita asociar a los participantes y no participantes en cada una de las variables observables. Los individuos que no se encuentran dentro de la zona de soporte común son descartados del análisis ya que no existe un par de comparación (Khandker et al., 2010).
3.1.3 Coarsened Exact Matching
El Coarsened Exact Matching (CEM) está diseñado para mejorar la estimación de efectos causales por medio de una técnica de emparejamiento no paramétrica. Su propósito es eliminar observaciones de forma que, en la muestra restante, las distribuciones empíricas de las covariables de los grupos de control y tratamiento sean más similares Blackwell, Iacus, King, and Porro (2009). Considerando que realizar emparejamientos exactos produce muy pocas coincidencias debido al problema de dimensionalidad (ejemplo: variables continuas como los ingresos), el CEM agrupa temporalmente los datos en nuevas variables por grupos o categorías, se realiza el emparejamiento con estos datos aproximados y posteriormente, conserva las variables originales de los datos emparejados.
3.2. Variables y Datos
La fuente de datos de la investigación proviene de la Encuesta Nacional De Empleo, Desempleo y Subempleo (ENEMDU) realizada por Instituto Nacional de Estadística y Censos (INEC). La ENEMDU ofrece información estadística a nivel de individuos sobre características sociodemográficas de los miembros del hogar, características ocupacionales como el status laboral, horas e ingresos laborales, entre otros; además, ofrece información de otros tipos de transferencia, como las recibidas del exterior por amigos o familiares.
Permite igualmente obtener información por hogar, es así que, este estudio utiliza datos a nivel de hogares en todo el territorio nacional incluyendo la información de hombres y mujeres de 15 a 65 años, es decir a la Población Económicamente Activa (PEA), con el fin de excluir a niños y jóvenes en edad escolar y adultos mayores que posiblemente son jubilados o ya no desean trabajar. De esta manera se puede trabajar con una submuestra de la población en edad de trabajar y que son considerados en la investigación por tomar sus decisiones laborales de manera más autónoma.
Se emplean las encuestas de sección transversal del mes de diciembre, para los años 2015 y 2020. Con el propósito de evaluar posibles cambios en los efectos distribucionales de las remesas en distintas etapas y/o ciclos económicos. La selección de estos años permite capturar diferentes estados del ciclo económico y migratorio en Ecuador, proporcionando una visión más amplia sobre los efectos de las remesas en los ingresos laborales. El año 2015 representa un periodo de estabilidad económica relativa previo a una serie de shocks externos e internos, lo cual permite observar la relación entre remesas e ingresos en un contexto económicamente más estable, con una tasa de desempleo que alcanzó un máximo de 4,7 % (acorde con datos del Banco Central del Ecuador). En contraste, el año 2020 refleja el impacto de la pandemia de COVID-19 sobre el mercado laboral y los flujos de remesas, siendo este un momento de crisis económica nacional y mundial, en donde el peak del desempleo nacional alcanzó un 6.2 %. En este año las remesas actuaron como mecanismo de moderación ante la pérdida de empleo e ingresos laborales (Ratha et al. 2024). Comparar estos dos años permite capturar tanto condiciones normales como de crisis, lo que resulta fundamental para identificar diferencias en los efectos de las remesas bajo distintas condiciones macroeconómicas y del mercado de trabajo.
3.2.1 Variable dependiente
La variable de mercado laboral a considerar para determinar el efecto de las remesas es:
1.Ingresos laborales: comprende a las retribuciones económicas mensuales en forma de pagos en metálico, en especie o en servicios, producto de la realización de actividades productivas. Los ingresos provenientes del trabajo pueden ser:
b)Ingresos del trabajo dependiente (asalariado) 3: incluye las remuneraciones, los impuestos directos y los aportes a la seguridad social (Castillo & Rosero, 2015).
c)Ingresos provenientes del trabajo independiente (cuenta propia o como patrono) 4: se considera los ingresos netos, descontado los gastos para el funcionamiento del negocio (Castillo & Rosero, 2015).
3.2.2 Variables de tratamiento
La variable de tratamiento a utilizar serán las remesas, mismas que estarán en dos diferentes formas, la primera es una variable categórica que toma el valor de 1 si el hogar recibe remesas y 0 en caso contrario, y la segunda corresponde al logaritmo de los ingresos por remesas, esto permitirá verificar la robustez de nuestras estimaciones. Las variables 5 que se utilizarán en las regresiones para controlar los factores socioeconómicos, demográficos, y laborales, corresponden a variables que la literatura señala como centrales en las decisiones de participación laboral, así como, en el salario, en el contexto de migración (Ademe Ayalew & Mohanty, 2022; Asiedu & Chimbar, 2020; Murakami, Yamada, & Sioson, 2021). Entre estas variables se pueden encontrar: escolaridad, sexo, experiencia, rama, zona, estado civil e integrantes del hogar. Así mismo, entre las variables que se usaron en el emparejamiento de datos, se encuentran: área, estado civil, escolaridad, autoidentificación, número de perceptores, rama de actividad, edad, sexo, número de integrantes del hogar, número de hijos menores a 15 años.
Se estiman las regresiones en función de la variable dependiente y los tratamientos mencionados previamente, cada ecuación se estima por cuatro métodos distintos, que son: Mínimos Cuadrados Ordinarios (MCO), Regresión Cuantílica, Regresión Cuantílica emparejado por PSM y Regresión Cuantílica emparejado por CEM (en el caso de las últimas dos, se estiman las regresiones solamente tomando en cuenta los hogares que se encuentran en el soporte común). Todas estas ecuaciones utilizan la corrección de la matriz de correlación por clúster (variable de clúster: provincia).
4. RESULTADOS
Los estadísticos descriptivos para el año 2015 (ver tabla 4 del anexo 3), muestran que el 2,9 % de los hogares recibe remesas, con un patrón marcadamente regresivo; 4,9 % en el quintil 1 y un 1,7 % en quintil 5. Este patrón anticipa un impacto distribucional diferenciado, más intenso en la cola inferior de la distribución salarial. Por otra parte, a medida que el ingreso aumenta, crece la proporción de hombres en la muestra (de 44,4 % a 83,4 %), es decir en los quintiles de mayores ingresos es más difícil encontrar mujeres. Igualmente, a medida que el ingreso aumenta, crece la proporción de personas que residen en zonas urbanas (de 50,5 % a 78,5 %), al igual que la cobertura de Seguro Social (de 28,6 % a 68,2 %), mientras que disminuye la presencia rural e indígena, lo que sugiere mayor formalidad y capital humano más altos en los quintiles de mayores ingresos. En la actividad productiva, la participación del sector servicios sube de 15,4 % a 54,5 % y la del primario cae de 61,1 % a 14,0 %; el trabajo por cuenta propia sigue siendo elevado (≈44-56 %), pero desciende levemente en los quintiles superiores, reflejando cierta transición hacia empleos asalariados formales. Patrones similares se observan para el año 2020 entre los estratos de ingresos (datos disponibles a solicitud a los autores). Estos patrones indican que las remesas podrían elevar el salario de reserva y reducir la aceptación de empleos precarizados en los grupos de menor ingreso, lo que respalda la estrategia empírica del estudio basada en regresiones cuantílicas para captar efectos heterogéneos.
En relación con la importancia de las remesas en los hogares ecuatorianos, en 2015 un promedio del 2,54 % de los hogares por provincia declaró recibir remesas. No obstante, como se observa en la Ilustración 1, existe una alta heterogeneidad entre provincias respecto de este promedio nacional. Destacan los casos de Cañar (15 %), Azuay (8 %) y Zamora Chinchipe (5 %). En 2020, Cañar continúa liderando con un 15 % de hogares receptores, seguido por Morona Santiago (8 %), Azuay (5 %) y Zamora Chinchipe (4 %), mientras que el promedio nacional cae a 1,95 %. Estos resultados evidencian una distribución espacial desigual de las remesas en el país, con una marcada concentración en el sur, particularmente en la denominada “Región Austro”. En consecuencia, la caracterización de Ecuador como un país de emigrantes parece aplicarse con mayor intensidad a esta zona del territorio. Adicionalmente, y respecto a la metodología, estos resultados confirman que, dada la heterogeneidad observada en los territorios, se debe corregir la matriz de correlaciones, clusterizándola por provincia.
La Tabla 1 presenta el promedio y la mediana de la proporción que representan las remesas en los ingresos laborales y totales del hogar, desagregada por quintiles de ingreso para los años 2015 y 2020. La inclusión de la mediana responde a la presencia de valores atípicos en la muestra. Los resultados revelan una mayor dependencia de las remesas en los hogares pertenecientes a los quintiles de menores ingresos. En particular, la mediana de la proporción de remesas sobre los ingresos totales en el primer quintil alcanzó aproximadamente un 43 % tanto en 2015 como en 2020, mientras que en el quinto quintil fue cercana al 8 %. Asimismo, en relación con los ingresos laborales, las remesas representaron el 100 % del ingreso en el primer quintil en 2015 y el 125 % en 2020, lo que sugiere una fuerte sustitución del ingreso laboral. En contraste, en el quinto quintil las remesas representaron solo el 9 % en ambos años. Estas marcadas diferencias evidencian una elevada desigualdad en la dependencia de las remesas entre los distintos estratos socioeconómicos, siendo claramente más significativa en los hogares de menores ingresos. En consecuencia, esto podría reforzar el planteamiento que las remesas generen efectos heterogéneos sobre las decisiones de participación laboral, con impactos más pronunciados en aquellos hogares donde constituyen una fuente principal de ingresos.
Ilustración 1. Porcentaje de Hogares Receptores de Remesas por provincia

* Nota: Las ilustraciones corresponden a la proporción de hogares que reciben remesas sobre el total de hogares por provincia para los años 2015 y 2020.
Fuente: Elaboración propia con base a los datos de la ENEMDU
En línea con el incremento en los flujos de remesas reportado por el Banco Mundial y el Banco Central del Ecuador, los resultados de la Tabla 1 también reflejan un aumento en la relevancia de las remesas dentro de los ingresos de los hogares entre 2015 y 2020, especialmente en los primeros cuatro quintiles. Tanto los promedios como las medianas muestran esta tendencia creciente, principalmente en los ingresos laborales. Estos hallazgos confirman no solo la persistencia del flujo de remesas hacia los hogares ecuatorianos, sino también su creciente importancia relativa, especialmente entre los sectores con menor capacidad adquisitiva. Igualmente, se debe considerar que durante los periodos analizados el país atravesaba por escenarios económicas opuestos; en el 2015 un periodo de estabilidad y en el 2020 una fase contractiva por la crisis de la pandemia del COVID-19. Y como señala Azizi (2017), durante periodos de crisis las remesas pueden incrementar por el altruismo de los migrantes.
Tabla 1. Porcentaje de Remeses sobre los ingresos laborales y totales de los hogares
|
2015 |
2020 |
|||||||
|
Remesas Ingresos Laborales |
Remesas Ingresos Totales |
Remesas Ingresos Laborales |
Remesas Ingresos Totales |
|||||
|
Media |
Mediana |
Media |
mediana |
Media |
mediana |
Media |
mediana |
|
|
Q1 |
168.38 % |
100.00 % |
43.26 % |
43.61 % |
256.37 % |
125.00 % |
45.72 % |
42.55 % |
|
Q2 |
55.76 % |
46.46 % |
28.28 % |
28.08 % |
84.51 % |
55.00 % |
32.60 % |
27.80 % |
|
Q3 |
36.70 % |
23.08 % |
22.34 % |
17.67 % |
44.92 % |
41.62 % |
25.00 % |
28.93 % |
|
Q4 |
26.11 % |
14.39 % |
16.37 % |
12.50 % |
35.01 % |
30.02 % |
22.23 % |
20.97 % |
|
Q5 |
24.53 % |
9.65 % |
11.36 % |
8.80 % |
9.76 % |
9.28 % |
7.66 % |
8.00 % |
Fuente: Elaboración Propia con base a los datos de la ENEMDU 2015-2020
En las ilustraciones 2 y 3 se aprecian los efectos por deciles de las remesas en los dos años de estudio: 2015 y 2020. En la primera columna se muestran los resultados de los coeficientes del tratamiento con la variable dicotómica y en la segunda columna las estimaciones con el tratamiento en logaritmo de los ingresos por remesas percibidos por el hogar, ambos tratamientos estimados a través de las tres diferentes metodologías: Regresión Cuantílica (RC), regresión cuantílica emparejada a través de Propensity Score Matching (PSM), y regresión cuantílica emparejada con Coarsened Exact Matching (CEM). Se realizó en todas las estimaciones el test de correlación entre clúster propuesto por Parente and Santos Silva (2016), siendo el estadístico significativo, es decir, se rechaza la hipótesis nula de no correlación entre clúster. En el Anexo 4 y 5 (tablas 5 y 6) se encuentran las distintas salidas de regresión para el año 2015 y 2020, los demás años están disponibles bajo solicitud a los autores. Respecto a las pruebas de emparejamiento, se ha estimado el estadístico L1, el cual resulta ser de 4.7041e-15 para 2015 y 9.090e-15 para el 2020. Es decir, que en ambos años las distribuciones son similares entre los dos grupos; tratados y no tratados.
Para el año 2015, los tres métodos utilizados, reportan un efecto predominantemente negativo de la recepción de remesas en los distintos deciles de ingresos, sin embargo, en los deciles inferiores - entre el primer y tercer decil – el efecto es más acentuado y significativo. Mientras que, en los últimos deciles el efecto es cercano a cero, y puede carecer de significancia estadística. Es decir, que en los estratos más vulnerables las remesas están estadísticamente asociadas con ingresos laborales menores. Esto sugiere un posible efecto ingreso en los deciles inferiores, consistente con la literatura que plantea que las remesas incrementan el salario de reserva y reducen los incentivos a participar activamente en el mercado laboral (Bertoli & Marchetta, 2014; Funkhouser, 1992; Hanson, 2007). Cuando se considera como tratamiento el monto de las remesas, se refuerza el patrón anterior. Se aprecian coeficientes negativos en los primeros deciles, especialmente con las metodologías PSM y CEM, lo cual sugiere que, a mayor monto de remesas, menor ingreso laboral entre los receptores. Estos resultados son consistentes con Aguilar (2008) para Ecuador y con Acosta et al. (2008) para países de Latinoamérica. Este último señala que las remesas reducen tanto las horas trabajadas como la probabilidad de participar en el mercado laboral. Igualmente, y fuera de la región, Ademe Ayalew and Mohanty (2022) para Etiopia y Zhushi and Qehaja (2024a) para Kosovo reportan resultados en la misma dirección.
Al igual que en 2015, los efectos en 2020 son negativos en los deciles más bajos, pero más pronunciados y persistentes entre deciles. A diferencia, de 2015 en donde el peak de los efectos negativos de las remesas se alcanzaba en el segundo decil, en el 2020 el peak del efecto se alcanza en el decil 3, y desciende considerablemente hasta en el decil 5. Esto sugiere que, en 2020 el efecto de las remesas sobre los ingresos laborales fue más homogéneo y más sistemáticamente negativo y significativo que en 2015, posiblemente reflejando las diferencias del contexto económico de cada año. En contextos de recesión o eventos disruptivos como desastres naturales o crisis financieras, las remesas pueden funcionar como una red de protección contracíclica, suavizando las restricciones presupuestarias de los hogares receptores (Ratha et al. 2024). Durante la pandemia de COVID-19, se esperaba inicialmente una contracción severa de los flujos de remesas debido a la paralización de sectores laborales altamente demandados por migrantes —como la construcción, los servicios y la agricultura—. El Banco Mundial proyectó una caída del 20 % en las remesas globales hacia países de ingreso bajo y medio para 2020 (World Bank, 2020). Sin embargo, la evolución real mostró un incremento notable; en América Latina y el Caribe, las remesas aumentaron un 6.5 % en 2020, impulsadas por transferencias digitales, ahorros previos de los migrantes y políticas fiscales expansivas en países emisores como Estados Unidos y España (Orozco, 2012). En el caso de Ecuador, los flujos de remesas crecieron, y posteriormente en 2021 alcanzaron un récord histórico (Zambrano & Cedeño, 2024).
En la tabla 2, se presentan los resultados para el año 2020 de la regresión cuantílica emparejada con coarsened exact matching (CEM) y con tratamiento en las remesas como variable dicotómica. Se observa que el efecto negativo, mencionado anteriormente, de las remesas en los ingresos laborales es estadísticamente significativo hasta el séptimo decil. Mientras que, la variable sexo no es estadísticamente significativa en ningún decil, lo que puede contrastar con la literatura. No obstante, la falta de significancia podría estar relacionada con el bajo número de mujeres (ver anexo estadísticas descriptivas) y con el impacto atípico del año 2020 (pandemia COVID-19). Las horas trabajadas, se alinean con la teoría, con un efecto positivo y significativo en todos los deciles. El estado civil casado presenta un efecto positivo y significativo en todos los deciles, particularmente fuerte en los deciles bajos y medios. Esto puede propiciar una mayor estabilidad laboral, como ha sido documentado por Aparicio and Meseguer (2012). El estado civil separado también muestra un efecto positivo en los deciles bajos y medios, aunque decreciente y no significativo en los deciles superiores. Los años de escolaridad muestran un efecto creciente, positivo y significativo en todos los deciles a partir del decil 2. Esto confirma el papel de la educación en la mejora de los ingresos laborales (Mincer, 1974; Montenegro & Patrinos, 2014). La variable etnia blanca, reporta resultados inconsistentes entre los deciles y de baja significancia estadística. La etnia minoritaria (afrodescendiente o indígena) muestra un efecto negativo y significativo desde el decil 5 en adelante. El número de integrantes del hogar no es estadísticamente significativo en la mayoría de los deciles. El número de perceptores de ingresos muestra una relación positiva y significativa en todos los deciles. Este resultado sugiere complementariedad en los ingresos del hogar y apoyan los hallazgos de Funkhouser (1992). El área de residencia rural tiene un efecto negativo y significativo en los deciles bajos, pero se vuelve positivo en los deciles superiores. Esta inversión del efecto puede reflejar mayores restricciones en el mercado rural para los estratos más vulnerables, pero también oportunidades en segmentos rurales más calificados. Para la rama de actividad económica, comercio, industria y sector primario muestran efectos positivos y significativos en los deciles bajos, pero decrecientes o negativos en los deciles superiores. Esto es coherente con la segmentación laboral sectorial, donde los sectores tradicionales ofrecen mayores oportunidades en los estratos bajos, pero limitadas en ingresos medios y altos. El seguro social tiene un efecto positivo y significativo en todos los deciles, lo cual refleja el papel que juega la formalización laboral en la generación de mayores ingresos. El efecto de la experiencia es negativo en los primeros deciles y no significativo en los medios, con una leve recuperación positiva en el decil más alto.
Ilustración 2. Resultados de las estimaciones año 2020

Fuente: Elaboración propia
Ilustración 3. Resultados de las estimaciones año 2015

Fuente: Elaboración propia
Tabla 2 Impacto de la recepción de remesas sobre los ingresos laborales, año 2020 (Coarsened Exact Matching-Regresión Cuantílica)
|
Deciles |
|||||||||
|---|---|---|---|---|---|---|---|---|---|
|
1 |
2 |
3 |
4 |
5 |
6 |
7 |
8 |
9 |
|
|
Remesas |
–0.465* |
–0.557*** |
–0.726*** |
–0.372 |
–0.197** |
–0.195** |
–0.161*** |
–0.024 |
–0.060 |
|
(0.247) |
(0.123) |
(0.122) |
(0.297) |
(0.098) |
(0.087) |
(0.048) |
(0.080) |
(0.037) |
|
|
Sexo |
0.016 |
–0.009 |
–0.158 |
0.010 |
0.075 |
0.055 |
0.064 |
0.037 |
0.035 |
|
(0.122) |
(0.151) |
(0.154) |
(0.176) |
(0.170) |
(0.064) |
(0.061) |
(0.054) |
(0.061) |
|
|
Estado civil |
|||||||||
|
Casado |
1.084*** |
1.276*** |
2.193*** |
2.266*** |
0.731** |
0.417*** |
0.319** |
0.291*** |
0.218*** |
|
(0.242) |
(0.333) |
(0.335) |
(0.771) |
(0.305) |
(0.100) |
(0.130) |
(0.091) |
(0.054) |
|
|
Separado |
0.698*** |
0.891*** |
1.649*** |
2.030*** |
0.676* |
0.379*** |
0.248 |
0.136 |
0.114 |
|
(0.197) |
(0.177) |
(0.269) |
(0.726) |
(0.389) |
(0.143) |
(0.165) |
(0.113) |
(0.083) |
|
|
Escolaridad |
0.009 |
0.026*** |
0.044*** |
0.044*** |
0.043*** |
0.047*** |
0.046*** |
0.049*** |
0.061*** |
|
(0.006) |
(0.007) |
(0.011) |
(0.007) |
(0.006) |
(0.004) |
(0.005) |
(0.005) |
(0.006) |
|
|
Etnia |
|||||||||
|
Blanco |
0.375* |
0.019 |
–0.548 |
–1.853** |
0.196 |
–0.025 |
0.015 |
–0.191** |
0.316*** |
|
(0.215) |
(0.298) |
(1.026) |
(0.852) |
(0.233) |
(0.160) |
(0.085) |
(0.083) |
(0.103) |
|
|
Minoría |
0.555** |
0.322 |
–0.024 |
–0.153 |
–0.206 |
–0.191* |
–0.182** |
–0.211*** |
–0.240*** |
|
(0.227) |
(0.246) |
(0.221) |
(0.152) |
(0.148) |
(0.110) |
(0.079) |
(0.079) |
(0.052) |
|
|
n_integrantes |
–0.056* |
–0.001 |
–0.003 |
–0.002 |
0.006 |
0.015 |
0.014 |
0.011 |
0.019 |
|
(0.030) |
(0.024) |
(0.011) |
(0.010) |
(0.010) |
(0.013) |
(0.011) |
(0.009) |
(0.013) |
|
|
n_perceptores |
2.123*** |
1.984*** |
1.537*** |
1.166*** |
0.915*** |
0.745*** |
0.638*** |
0.575*** |
0.436*** |
|
(0.119) |
(0.215) |
(0.191) |
(0.169) |
(0.134) |
(0.100) |
(0.096) |
(0.087) |
(0.052) |
|
|
Área |
–0.256*** |
–0.163** |
–0.138 |
–0.025 |
0.010 |
0.068 |
0.105*** |
0.098** |
0.104** |
|
(0.096) |
(0.067) |
(0.095) |
(0.092) |
(0.057) |
(0.046) |
(0.040) |
(0.039) |
(0.045) |
|
|
Primaria |
0.529*** |
0.412*** |
0.323*** |
0.065 |
–0.109 |
–0.158* |
–0.172** |
–0.204*** |
–0.146*** |
|
(0.133) |
(0.104) |
(0.120) |
(0.153) |
(0.128) |
(0.094) |
(0.083) |
(0.060) |
(0.048) |
|
|
Industria |
0.507** |
0.396*** |
0.234*** |
0.099** |
0.036 |
0.006 |
–0.062** |
–0.075*** |
–0.070*** |
|
(0.199) |
(0.122) |
(0.060) |
(0.046) |
(0.042) |
(0.026) |
(0.024) |
(0.021) |
(0.025) |
|
|
Comercio |
0.714*** |
0.482*** |
0.376*** |
0.157* |
0.010 |
–0.068** |
–0.119*** |
–0.121*** |
–0.096*** |
|
(0.212) |
(0.149) |
(0.111) |
(0.094) |
(0.067) |
(0.035) |
(0.028) |
(0.027) |
(0.032) |
|
|
Horas laborales |
0.004*** |
0.007*** |
0.007*** |
0.006*** |
0.007*** |
0.007*** |
0.007*** |
0.007*** |
0.010*** |
|
(0.002) |
(0.002) |
(0.001) |
(0.001) |
(0.001) |
(0.001) |
(0.001) |
(0.002) |
(0.001) |
|
|
Seguridad social |
0.364*** |
0.373*** |
0.379*** |
0.423*** |
0.387*** |
0.391*** |
0.392*** |
0.400*** |
0.386*** |
|
(0.091) |
(0.071) |
(0.061) |
(0.058) |
(0.044) |
(0.043) |
(0.034) |
(0.035) |
(0.032) |
|
|
Experiencia |
–0.031*** |
–0.020*** |
0.014 |
0.009 |
0.007 |
0.006 |
0.005 |
0.003 |
0.005* |
|
(0.008) |
(0.007) |
(0.010) |
(0.009) |
(0.005) |
(0.004) |
(0.003) |
(0.003) |
(0.003) |
|
|
Experiencia2 |
0.000 |
–0.000 |
–0.001*** |
–0.000*** |
–0.000*** |
–0.000*** |
–0.000*** |
–0.000** |
–0.000* |
|
(0.000) |
(0.000) |
(0.000) |
(0.000) |
(0.000) |
(0.000) |
(0.000) |
(0.000) |
(0.000) |
|
|
Constante |
0.399** |
0.459* |
0.372 |
1.064 |
3.093*** |
3.633*** |
4.017*** |
4.337*** |
4.456*** |
|
(0.191) |
(0.234) |
(0.259) |
(0.688) |
(0.547) |
(0.223) |
(0.201) |
(0.123) |
(0.096) |
|
|
N |
|||||||||
|
R2 |
|||||||||
|
Errores estándar robusto entre paréntesis |
|||||||||
|
*** p<0.01, ** p<0.05, * p<0.1 |
|||||||||
Fuente: Elaboración propia
Este artículo busca analizar los efectos de las remesas en el mercado laboral, desde una perspectiva novedosa, puesto que a diferencia de la literatura que mayoritariamente analiza los efectos de las remesas en las horas trabajadas o en la decisión de participación laboral, la presente investigación busca determinar sí existe un efecto distribucional de las remesas internacionales en los ingresos laborales de los hogares ecuatorianos, utilizando regresiones cuantílicas y técnicas de emparejamiento. Los resultados confirman un efecto heterogéneo a lo largo de la distribución de ingresos, predominantemente negativo y estadísticamente significativo de la recepción de remesas en los ingresos laborales de los ocupados en Ecuador. Lo cual sugiere la presencia de un efecto renta que desalienta la participación laboral o reduce el esfuerzo laboral entre los receptores, respaldando la hipótesis del efecto ingreso planteada en la literatura (Funkhouser, 1992; Hanson, 2007; Murakami, Yamada, & Sioson, 2020). Este efecto se manifiesta con mayor intensidad en los deciles bajos y medios de ingreso: los individuos en los deciles inferiores, que reciben remesas tienden a percibir menos ingreso laboral que sus pares de características similares que no las reciben (ceteris paribus). En cambio, en los deciles superiores del ingreso la influencia de las remesas resulta atenuada y estadísticamente insignificante en el análisis, lo que indica que en los niveles más altos de ingresos la recepción de remesas no altera el comportamiento laboral. Esta heterogeneidad confirma que los trabajadores de menores ingresos son los más proclives a ajustar su oferta laboral ante la llegada de remesas.
Si bien, los resultados de este trabajo son coherentes con múltiples estudios que han documentado un efecto ingreso desalentador de las remesas sobre la participación laboral de los individuos receptores, los resultados en este trabajo advierten de un efecto ingreso heterogéneo en la distribución de renta. Es decir, que desde el modelo renta-ocio, la afectación de las remesas sobre el salario de reserva no será la misma en el inicio de la distribución que en el final de esta. Esto se puede deber a que varios de los determinantes del salario de reserva, como menciona Kiefer and Neumann (1979), varían en la distribución de los ingresos, por ejemplo, el nivel de educación o el salario de mercado en el primer decil serán menores que en el noveno decil. Entonces, el salario de reserva de los individuos de un hogar que recibe mayores ingresos laborales será más alto que el de los individuos de un hogar que están en el inicio de la distribución, en consecuencia, el impacto de un monto similar de remesas en el salario de reserva será mucho menor en los hogares con ingresos laborales más altos. Asimismo, Mata-Codesal (2018) confirman que el efecto en el salario de reserva es más evidente en áreas con oportunidades laborales limitadas. Es decir, que los resultados podrían estar ligados a las condiciones económicas y sociales del hogar, Por ende, en los hogares de ingresos bajos las remesas parecerían estar actuando como un sustituto de los ingresos laborales que podría explicarse como un intercambio de trabajo asalariado por no asalariado, un resultado que no es extraño, ya que, en este grupo de ingresos, las remesas constituyen un rubro importante que permiten recomprar tiempo para el trabajo reproductivo.
Al comparar los resultados para 2015 y 2020 se observan patrones similares, pero con algunas diferencias importantes en magnitud y significancia. En ambos años se corroboró el efecto desincentivador de las remesas sobre los ingresos laborales en la parte baja de la distribución, aunque se incrementan en 2020. Este hallazgo está relacionado con las alteraciones que ocasionaron en los mercados laborales, la pandemia de COVID-19 y las políticas de respuesta a esta. Por una parte, el confinamiento de la población y el cierre o restricción de actividades económicas ocasionó una caída en la producción, un incremento en el desempleo, y a su vez, una disminución en los ingresos laborales. Por otra parte, y contrario a lo que se esperaba, se incrementó el flujo de remesas a Ecuador y a América Latina en general, a pesar de que todas las economías sentían los efectos de la pandemia. Este incremento en los flujos de remesas obedeció a las medidas expansivas de los países desarrollados emisores de remesas y al altruismo de los migrantes. Estas alteraciones configuraron un escenario de mayor dependencia de remesas, y a su vez, de un mayor impacto de estas en los ingresos durante el año 2020.
En materia de política pública, los resultados obtenidos sugieren tres líneas de acción. Primero, las políticas laborales deben focalizarse en los hogares de menores ingresos, donde las remesas elevan en mayor medida el salario de reserva y, por ende, inciden en las decisiones de oferta laboral. Segundo, se requiere mitigar eventuales comportamientos de dependencia, promoviendo el uso de las remesas en actividades productivas formales; por ejemplo, articulando a los receptores con ecosistemas de emprendimiento para la creación de micro y pequeñas empresas. Tercero, es necesario implementar programas de formación y empleo flexibles, orientados a subsanar las brechas de capital humano detectadas en las zonas con alta recepción de remesas.
Por último, se identifican líneas de investigación que permitirían profundizar la relación entre remesas e ingresos laborales. Primero, resulta promisorio examinar la dimensión espacial; nuestros hallazgos sugieren posibles patrones de dependencia espacial en la recepción de remesas que justifican un análisis desde un enfoque espacial. Segundo, se recomienda diferenciar los efectos por sexo y zona de residencia (urbana o rural) mediante variables de interacción u otro, dado que la literatura documenta sensibilidades heterogéneas en función del género y el contexto territorial. Tercero, es pertinente indagar en el horizonte temporal de los efectos observados. Queda por determinar si la reducción de los ingresos laborales es transitoria —con una eventual reincorporación al mercado de trabajo— o si genera impactos persistentes que condicionen la trayectoria ocupacional y la acumulación de capital humano de los receptores. Un estudio longitudinal que siga a los hogares durante varios años permitiría distinguir entre efectos de corto y de largo plazo y, en consecuencia, enriquecer la comprensión de los mecanismos subyacentes.
ANEXOS
Anexo 1. Estimación finita de coeficientes de regresión cuantílica
El objetivo de la regresión cuantílica es estimar los efectos de los regresores sobre distintos cuantiles (por ejemplo, el 10 %, 25 %, mediana, 75 %) de la distribución condicional de la variable dependiente
Y, dada una matriz de regresores 𝑋. La estimación de varias regresiones cuantílicas, en distintos puntos de la distribución condicional, se obtienen utilizando los mismos datos en diferentes esquemas de ponderación, a continuación, se detalla la secuencia de estimaciones finitas de las regresiones cuantílicas.

Sabiendo que 0<θ1<θ2<⋯<θp<1, Sea:

Donde, 
que define las p funciones de momento para la θ1 hasta el θp regresión cuantílica, respectivamente. Sea β≀=(β1≀,…,βp≀) y β≀θ=(βθ1≀,…,βθp≀) los parámetros poblaciones. Bajo la condición de regularidad E[ψ(xi,yi,βθ1,…,βθp)]=0, y a partir del principio de analogía de Manski (1988), el estimador
de βθ se obtiene como una solución de:

No obstante, no es necesario resolver para cada
de manera simultánea ya que no se imponen restricciones cruzadas sobre
. De acuerdo a Powell (1984)
tiene una distribución asintóticamente normal, tal que:

Donde
y sea
:

Si
, entonces la ecuación anterior se simplifica en:
(6)

De acuerdo a Koenker y Bassett (1978), 

En lugar de minimizar la suma de los cuadrados de los errores como en la regresión OLS, aquí se minimiza una función de pérdida asimétrica, como la propuesta por Koenker y Bassett (1978).
Anexo 2. Descripción de variables de control
Tabla 3. Descripción de Variables
|
Variable |
Descripción breve |
|---|---|
|
Características individuales del jefe del hogar |
|
|
Sexo |
1: Mujer 0: Hombre |
|
Estado Civil: Casado |
1: Casado o en Unión de Hecho 0: Otro estado civil |
|
Estado Civil: Separado |
1: Separado 0: Otro estado civil |
|
Escolaridad |
Años de escolaridad más alto aprobado |
|
Autoidentificación: Blanco |
1: Autoidentificación del individuo como blanco 0: Otras autoidentificaciones |
|
Autoidentificación: Grupos Minoritarios |
1: Autoidentificación del individuo en grupo minoritario: Afroecuatoriano, indígena, etc. 0: Otras autoidentificaciones |
|
Características del hogar |
|
|
Integrantes del hogar |
Número de integrantes en el hogar |
|
Perceptores del hogar |
Número de perceptores de ingresos en el hogar |
|
Área |
1: Urbano 0: Rural |
|
Variables laborales |
|
|
Rama de actividad: Sector Primario |
1: Trabajo del individuo pertenece a una empresa del sector primario 0: Trabaja en otro sector |
|
Rama de actividad: Sector Industrial |
1: Trabajo del individuo pertenece a una empresa del sector de industrias 0: Trabaja en otro sector |
|
Rama de actividad: Sector Comercio |
1: Trabajo del individuo pertenece a una empresa del sector comercial 0: Trabaja en otro sector |
|
Seguridad Social |
1: Es afiliado a la Seguridad Social 0: Caso contrario |
|
Experiencia laboral potencial |
Estimación de los años de experiencia potencial 6 |
|
Ingreso por cuenta propia |
1: Si los ingresos laborales provienen por un negocio propio del individuo 0: Caso contrario |
|
Horas Trabajadas |
Número de horas trabajadas en la semana por el hogar |
Fuente: Elaboración propia
Anexo 3. Estadísticos Descriptivos por Quintiles de Ingresos Laborales, año 2015
Tabla 4. Estadísticos Descriptivos por Quintiles de Ingresos Laborales, año 2015
|
Ingrl Q1 $0 - $159 |
Ingrl Q2 $160 - $390 |
Ingrl Q3 $391 - $605 |
Ingrl Q4 $606 - $1040 |
Ingrl Q5 $1041 - $ 66854 |
||||||
|---|---|---|---|---|---|---|---|---|---|---|
|
N |
% |
N |
% |
N |
% |
N |
% |
N |
% |
|
|
Remesas |
||||||||||
|
Si |
340 |
4.86 % |
177 |
2.86 % |
135 |
2.46 % |
123 |
2.17 % |
97 |
1.74 % |
|
No |
6656 |
95.14 % |
6011 |
97.14 % |
5357 |
97.54 % |
5552 |
97.83 % |
5583 |
98.26 % |
|
Sexo |
||||||||||
|
Hombre |
4167 |
40.44 % |
4548 |
73.50 % |
4307 |
78.42 % |
4455 |
78.50 % |
4737 |
83.37 % |
|
Mujer |
2829 |
59.56 % |
1640 |
26.50 % |
1185 |
21.58 % |
1220 |
21.50 % |
945 |
16.63 % |
|
Estado Civil |
||||||||||
|
Soltero |
1113 |
15.91 % |
731 |
11.81 % |
565 |
10.29 % |
468 |
8.25 % |
303 |
5.33 % |
|
Casadoa |
3327 |
47.56 % |
4071 |
65.79 % |
3955 |
72.01 % |
4257 |
75.01 % |
4610 |
81.13 % |
|
Separadob |
2556 |
36.54 % |
1386 |
22.40 % |
972 |
17.70 % |
950 |
16.74 % |
769 |
13.53 % |
|
Etnia |
||||||||||
|
Mestizo |
4898 |
70.01 % |
4553 |
73.58 % |
4423 |
80.54 % |
4753 |
83.75 % |
4997 |
87.94 % |
|
Blanco |
147 |
2.10 % |
93 |
1.50 % |
83 |
1.51 % |
78 |
1.37 % |
101 |
1.78 % |
|
Otrosc |
1951 |
27.89 % |
1542 |
24.92 % |
986 |
17.95 % |
844 |
14.87 % |
584 |
10.28 % |
|
Area |
||||||||||
|
Urbano |
3534 |
50.51 % |
3169 |
51.21 % |
3408 |
62.05 % |
3945 |
69.52 % |
4461 |
78.51 % |
|
Rural |
3462 |
49.49 % |
3019 |
48.79 % |
2084 |
37.95 % |
1730 |
30.48 % |
1221 |
21.49 % |
|
Rama de Actividad |
||||||||||
|
Serviciosd |
637 |
15.38 % |
1147 |
20.67 % |
1552 |
31.34 % |
2173 |
42.18 % |
2869 |
54.54 % |
|
Primarioe |
2529 |
61.07 % |
2636 |
47.50 % |
1443 |
29.14 % |
1119 |
21.72 % |
737 |
14.01 % |
|
Industriaf |
500 |
9.66 % |
937 |
16.89 % |
1232 |
24.88 % |
1158 |
22.48 % |
923 |
17.55 % |
|
Comercio |
575 |
13.89 % |
829 |
14.94 % |
725 |
14.64 % |
702 |
13.63 % |
731 |
13.90 % |
|
Seguro Social |
||||||||||
|
Si |
2001 |
28.60 % |
1443 |
23.32 % |
2286 |
41.62 % |
3024 |
53.29 % |
3874 |
68.18 % |
|
No |
4995 |
71.40 % |
4745 |
76.68 % |
3206 |
58.38 % |
2651 |
46.71 % |
1808 |
31.82 % |
|
Ingresos por Cuenta Propia |
||||||||||
|
Si |
2603 |
37.21 % |
3283 |
53.05 % |
2365 |
43.06 % |
2511 |
44.25 % |
2643 |
46.52 % |
|
No |
4393 |
62.79 % |
2905 |
46.95 % |
3127 |
56.94 % |
3164 |
55.75 % |
3039 |
53.48 % |
|
a Casado/Unión Libre b Separado/Divorciado/viudo c Indígena, Afroecuatoriano, Negro, Mulato, Montubio y otros. d Transporte, Alojamiento, Comunicación, Seguros/financiero e Agricultura, Minas f Industria, distribución de agua/luz y construcción |
||||||||||
Elaboración: Autores
Anexo 4. Resultados de las estimaciones, año 2020
Tabla 5 Impacto de la recepción de remesas sobre los ingresos laborales, año 2020 (Propensity Score Matching-Regresión Cuantílica)
|
Deciles |
|||||||||
|---|---|---|---|---|---|---|---|---|---|
|
1 |
2 |
3 |
4 |
5 |
6 |
7 |
8 |
9 |
|
|
Remesas |
–0.254 |
–0.440*** |
–0.768*** |
–0.375*** |
–0.127 |
–0.108 |
–0.118** |
–0.040 |
–0.051 |
|
(0.155) |
(0.148) |
(0.185) |
(0.144) |
(0.187) |
(0.084) |
(0.053) |
(0.111) |
(0.037) |
|
|
Sexo |
0.051 |
0.073 |
0.226** |
0.239** |
0.198** |
0.150** |
0.140** |
0.164** |
0.109** |
|
(0.041) |
(0.052) |
(0.078) |
(0.059) |
(0.040) |
(0.036) |
(0.032) |
(0.029) |
(0.036) |
|
|
Estado civil |
|||||||||
|
Casado |
0.302*** |
0.303*** |
0.325*** |
0.115** |
0.134** |
0.079** |
0.076** |
0.081*** |
0.110* |
|
(0.056) |
(0.079) |
(0.102) |
(0.052) |
(0.053) |
(0.038) |
(0.031) |
(0.031) |
(0.063) |
|
|
Separado |
0.086** |
0.183*** |
0.280*** |
0.140* |
0.174*** |
0.117** |
0.085* |
0.055 |
0.060 |
|
(0.041) |
(0.054) |
(0.107) |
(0.079) |
(0.065) |
(0.059) |
(0.049) |
(0.052) |
(0.061) |
|
|
Escolaridad |
–0.007** |
–0.010** |
–0.005 |
0.020*** |
0.031*** |
0.040*** |
0.046*** |
0.046*** |
0.060*** |
|
(0.004) |
(0.004) |
(0.010) |
(0.006) |
(0.005) |
(0.006) |
(0.005) |
(0.004) |
(0.007) |
|
|
Etnia |
|||||||||
|
Blanco |
–0.106* |
–0.311*** |
–0.864*** |
–0.822** |
–0.460 |
–0.307* |
–0.182 |
–0.154 |
0.021 |
|
(0.063) |
(0.063) |
(0.249) |
(0.398) |
(0.281) |
(0.184) |
(0.195) |
(0.119) |
(0.078) |
|
|
Minoría |
–0.098** |
–0.180** |
–0.307*** |
–0.262*** |
–0.300*** |
–0.248*** |
–0.180** |
–0.178** |
–0.168*** |
|
(0.046) |
(0.070) |
(0.113) |
(0.072) |
(0.088) |
(0.086) |
(0.076) |
(0.079) |
(0.056) |
|
|
n_integrantes |
–0.166*** |
–0.116*** |
–0.123*** |
–0.084*** |
–0.046*** |
–0.020* |
–0.010 |
–0.009 |
–0.009 |
|
(0.028) |
(0.024) |
(0.019) |
(0.011) |
(0.010) |
(0.012) |
(0.010) |
(0.008) |
(0.012) |
|
|
n_perceptores |
1.728*** |
1.622*** |
1.379*** |
1.036*** |
0.810*** |
0.652*** |
0.552*** |
0.476*** |
0.383*** |
|
(0.106) |
(0.089) |
(0.160) |
(0.128) |
(0.123) |
(0.115) |
(0.101) |
(0.096) |
(0.070) |
|
|
Área |
–0.037 |
–0.001 |
0.140** |
0.194*** |
0.194*** |
0.146*** |
0.142*** |
0.148*** |
0.146*** |
|
(0.036) |
(0.047) |
(0.062) |
(0.068) |
(0.047) |
(0.035) |
(0.036) |
(0.026) |
(0.041) |
|
|
Rama de actividad |
|||||||||
|
Primaria |
0.808*** |
1.011*** |
0.663*** |
0.291*** |
0.067 |
–0.096 |
–0.135** |
–0.179*** |
–0.126*** |
|
(0.200) |
(0.163) |
(0.148) |
(0.104) |
(0.094) |
(0.077) |
(0.059) |
(0.030) |
(0.031) |
|
|
Industria |
1.226*** |
1.067*** |
0.555*** |
0.206*** |
0.088** |
–0.023 |
–0.052*** |
–0.072*** |
–0.070*** |
|
(0.142) |
(0.124) |
(0.099) |
(0.058) |
(0.034) |
(0.026) |
(0.020) |
(0.018) |
(0.023) |
|
|
Comercio |
1.318*** |
1.123*** |
0.583*** |
0.193*** |
0.049 |
–0.061** |
–0.094*** |
–0.141*** |
–0.103*** |
|
(0.185) |
(0.142) |
(0.109) |
(0.063) |
(0.041) |
(0.030) |
(0.018) |
(0.021) |
(0.038) |
|
|
Horas laborales |
0.005*** |
0.008*** |
0.009*** |
0.008*** |
0.007*** |
0.007*** |
0.008*** |
0.008*** |
0.010*** |
|
(0.002) |
(0.001) |
(0.001) |
(0.001) |
(0.001) |
(0.001) |
(0.002) |
(0.001) |
(0.001) |
|
|
Seguridad social |
0.130*** |
0.149*** |
0.346*** |
0.417*** |
0.392*** |
0.347*** |
0.347*** |
0.325*** |
0.306*** |
|
(0.031) |
(0.032) |
(0.047) |
(0.039) |
(0.040) |
(0.038) |
(0.033) |
(0.031) |
(0.031) |
|
|
Experiencia |
–0.051*** |
–0.066*** |
–0.018 |
0.014** |
0.015*** |
0.009*** |
0.005** |
0.005** |
0.003 |
|
(0.008) |
(0.006) |
(0.014) |
(0.007) |
(0.004) |
(0.003) |
(0.002) |
(0.002) |
(0.002) |
|
|
Experiencia2 |
0.000*** |
0.000*** |
–0.000* |
–0.001*** |
–0.001*** |
–0.000*** |
–0.000*** |
–0.000*** |
–0.000* |
|
(0.000) |
(0.000) |
(0.000) |
(0.000) |
(0.000) |
(0.000) |
(0.000) |
(0.000) |
(0.000) |
|
|
Constante |
1.680*** |
2.611*** |
3.001*** |
3.420*** |
3.733*** |
4.165*** |
4.353*** |
4.598*** |
4.698*** |
|
(0.306) |
(0.193) |
(0.226) |
(0.181) |
(0.183) |
(0.165) |
(0.121) |
(0.102) |
(0.123) |
|
|
N |
16,373 |
16,373 |
16,373 |
16,373 |
16,373 |
16,373 |
16,373 |
16,373 |
16,373 |
|
R2 |
0.487 |
0.548 |
0.547 |
0.528 |
0.525 |
0.510 |
0.494 |
0.474 |
0.447 |
|
Errores estándar robusto entre paréntesis |
|||||||||
|
*** p<0.01, ** p<0.05, * p<0.1 |
|||||||||
Fuente: Elaboración propia
Anexo 5. Resultados de las estimaciones, año 2015
Tabla 6 Impacto de la recepción de remesas sobre los ingresos laborales, año 2015 (Propensity Score Matching-Regresión Cuantílica)
|
Deciles |
|||||||||
|---|---|---|---|---|---|---|---|---|---|
|
1 |
2 |
3 |
4 |
5 |
6 |
7 |
8 |
9 |
|
|
Remesas |
–0.313* |
–0.487*** |
–0.344* |
–0.188** |
–0.206** |
–0.126* |
–0.029 |
–0.057 |
–0.047 |
|
(0.166) |
(0.156) |
(0.188) |
(0.087) |
(0.094) |
(0.069) |
(0.052) |
(0.039) |
(0.058) |
|
|
Sexo |
0.129*** |
0.267*** |
0.226*** |
0.168*** |
0.161*** |
0.129*** |
0.111*** |
0.094*** |
0.099*** |
|
(0.034) |
(0.052) |
(0.038) |
(0.022) |
(0.022) |
(0.020) |
(0.013) |
(0.022) |
(0.036) |
|
|
Estado civil |
|||||||||
|
Casado |
0.689*** |
0.365*** |
0.181*** |
0.125*** |
0.100*** |
0.127*** |
0.095*** |
0.092*** |
0.113*** |
|
(0.086) |
(0.108) |
(0.069) |
(0.048) |
(0.038) |
(0.026) |
(0.024) |
(0.023) |
(0.032) |
|
|
Separado |
0.416*** |
0.284*** |
0.194*** |
0.109** |
0.107*** |
0.109*** |
0.070** |
0.061*** |
0.081*** |
|
(0.063) |
(0.087) |
(0.063) |
(0.045) |
(0.031) |
(0.024) |
(0.028) |
(0.022) |
(0.028) |
|
|
Escolaridad |
–0.035*** |
–0.018** |
0.016*** |
0.026*** |
0.034*** |
0.041*** |
0.047*** |
0.055*** |
0.066*** |
|
(0.004) |
(0.007) |
(0.002) |
(0.002) |
(0.002) |
(0.003) |
(0.003) |
(0.004) |
(0.004) |
|
|
Etnia |
|||||||||
|
Blanco |
–0.089 |
–0.392 |
–0.152 |
–0.057 |
0.024 |
0.049 |
0.052* |
0.051 |
0.171*** |
|
(0.056) |
(0.427) |
(0.141) |
(0.116) |
(0.044) |
(0.038) |
(0.028) |
(0.035) |
(0.062) |
|
|
Minoría |
–0.060 |
–0.200*** |
–0.192*** |
–0.155*** |
–0.138*** |
–0.132*** |
–0.107*** |
–0.111*** |
–0.150*** |
|
(0.053) |
(0.064) |
(0.050) |
(0.046) |
(0.040) |
(0.041) |
(0.036) |
(0.035) |
(0.030) |
|
|
n_integrantes |
–0.175*** |
–0.135*** |
–0.092*** |
–0.060*** |
–0.029*** |
–0.014*** |
–0.011** |
–0.005 |
–0.002 |
|
(0.014) |
(0.022) |
(0.013) |
(0.010) |
(0.007) |
(0.004) |
(0.005) |
(0.006) |
(0.008) |
|
|
n_perceptores |
1.459*** |
1.258*** |
0.900*** |
0.715*** |
0.601*** |
0.517*** |
0.464*** |
0.414*** |
0.354*** |
|
(0.078) |
(0.135) |
(0.086) |
(0.075) |
(0.066) |
(0.049) |
(0.057) |
(0.065) |
(0.053) |
|
|
Área |
–0.003 |
0.098 |
0.189*** |
0.204*** |
0.177*** |
0.169*** |
0.142*** |
0.122*** |
0.152*** |
|
(0.052) |
(0.061) |
(0.056) |
(0.041) |
(0.036) |
(0.033) |
(0.025) |
(0.024) |
(0.023) |
|
|
Rama de actividad |
|||||||||
|
Primaria |
0.975*** |
0.649*** |
0.264*** |
0.047 |
–0.096*** |
–0.142*** |
–0.168*** |
–0.153*** |
–0.116*** |
|
(0.160) |
(0.093) |
(0.060) |
(0.044) |
(0.036) |
(0.028) |
(0.028) |
(0.039) |
(0.032) |
|
|
Industria |
1.319*** |
0.632*** |
0.268*** |
0.126*** |
0.033 |
–0.016 |
–0.032* |
–0.050*** |
–0.048** |
|
(0.146) |
(0.090) |
(0.043) |
(0.031) |
(0.023) |
(0.017) |
(0.019) |
(0.018) |
(0.021) |
|
|
Comercio |
1.499*** |
0.834*** |
0.315*** |
0.127*** |
0.010 |
–0.043 |
–0.068* |
–0.048 |
0.015 |
|
(0.170) |
(0.142) |
(0.075) |
(0.049) |
(0.041) |
(0.028) |
(0.038) |
(0.040) |
(0.040) |
|
|
Horas laborales |
0.006*** |
0.008*** |
0.008*** |
0.007*** |
0.007*** |
0.007*** |
0.006*** |
0.007*** |
0.008*** |
|
(0.001) |
(0.001) |
(0.001) |
(0.001) |
(0.001) |
(0.001) |
(0.001) |
(0.001) |
(0.001) |
|
|
Seguridad social |
0.186*** |
0.253*** |
0.358*** |
0.378*** |
0.348*** |
0.334*** |
0.313*** |
0.295*** |
0.274*** |
|
(0.050) |
(0.035) |
(0.024) |
(0.025) |
(0.024) |
(0.022) |
(0.018) |
(0.021) |
(0.022) |
|
|
Experiencia |
–0.054*** |
–0.019 |
0.031*** |
0.033*** |
0.022*** |
0.014*** |
0.011*** |
0.007*** |
0.006*** |
|
(0.009) |
(0.014) |
(0.005) |
(0.004) |
(0.005) |
(0.003) |
(0.002) |
(0.002) |
(0.002) |
|
|
Experiencia2 |
0.000** |
–0.000** |
–0.001*** |
–0.001*** |
–0.001*** |
–0.000*** |
–0.000*** |
–0.000*** |
–0.000*** |
|
(0.000) |
(0.000) |
(0.000) |
(0.000) |
(0.000) |
(0.000) |
(0.000) |
(0.000) |
(0.000) |
|
|
Constante |
2.265*** |
3.134*** |
3.344*** |
3.731*** |
4.091*** |
4.326*** |
4.561*** |
4.727*** |
4.797*** |
|
(0.258) |
(0.156) |
(0.101) |
(0.093) |
(0.095) |
(0.063) |
(0.050) |
(0.075) |
(0.069) |
|
|
N |
19,666 |
19,666 |
19,666 |
19,666 |
19,666 |
19,666 |
19,666 |
19,666 |
19,666 |
|
R2 |
0.505 |
0.548 |
0.531 |
0.526 |
0.529 |
0.518 |
0.502 |
0.483 |
0.449 |
|
Errores estándar robusto entre paréntesis |
|||||||||
|
*** p<0.01, ** p<0.05, * p<0.1 |
|||||||||
Fuente: Elaboración propia
BIBLIOGRAFÍA
(2012). In the absence of men? Gender, migration and domestic labour in the Southern Ecuadorean Andes. Journal of Latin American Studies, 44(1), 71-96.
(2006). Labor supply, school attendance, and remittances from international migration: the case of El Salvador. World Bank Policy Research Working Paper(3903).
, , & (2008). Remittances and Household Behavior: Evidence for Latin America Remittances and Development: Lessons from Latin America: The World Bank.
, , & (2009). Remittances and the Dutch disease. Journal of international economics, 79(1), 102-116.
, , & (2007). International Migration, Economic Development and Policy (pp. 141-160): World Bank Washington, DC.
, & (2022). Do remittances affect labour participation decisions and hours worked? Evidence from Ethiopia. Cogent Economics & Finance, 10(1), 2093821.
(2008). Las Remesas y la Oferta de Trabajo en Ecuador. Cuestiones Económicas: Banco Central del Ecuador, 24(2), 93-112.
, & (2006). Migration, Remittances, and Male and Female Employment Patterns. American Economic Review, 96(2), 222-226.
, & (2012). Collective remittances and the state: the 3× 1 program in Mexican municipalities. World Development, 40(1), 206-222.
, & (2020). Impact of remittances on male and female labor force participation patterns in Africa: Quasi-experimental evidence from Ghana. Review of Development Economics, 24(3), 1009-1026.
(2017). Altruism: primary motivation of remittances. Applied Economics Letters, 24(17), 1218-1221.
(2018). The impacts of workers’ remittances on human capital and labor supply in developing countries. Economic Modelling, 75, 377-396.
(2019). The impacts of workers’ remittances on poverty and inequality in developing countries. Empirical Economics, 60, 969-991.
, , & Q (2016). Do remittances improve income inequality? An instrumental variable quantile analysis of the Kenyan case. Economic Modelling, 58, 394-402. doi: 10.1016/j.econmod.2016.04.004
, & (2014). Migration, remittances and poverty in Ecuador. The Journal of Development Studies, 50(8), 1067-1089.
, , , & (2009). Cem: Coarsened Exact Matching in Stata. The Stata Journal: Promoting communications on statistics and Stata, 9(4), 524-546. doi: 10.1177/1536867x0900900402
(1998). Recent Advances in Quantile Regression Models: A Practical Guideline for Empirical Research. The Journal of Human Resources, 33(1), 88. doi: 10.2307/146316
(2014). Receptoras de Remesas y Participación en el Mercado Laboral en el Corto Plazo. Notas técnicas de investigación No. 2 ECONOMICA-CIC. Retrieved from http://foroeconomiaecuador.com/fee/receptoras-de-remesas-y-participacion-en-el-mercado-laboral-en-el-corto-plazo/
(2006). The Effect of Filipino Overseas Migration on the Non-Migrant Spouse’s Market Participation and Labor Supply Behavior. Born, Germany: IZA Discussion Paper No. 2240.
, & (2009). Microeconometrics Using Stata. College Station, TX: Stata Press.
, , , , & (2024). The Joint Effect of Emigration and Remittances on Economic Growth and Labor Force Participation in Latin America and the Caribbean. IMF Working Paper No. 2024/175
, & (2015). Empleo y condición de Actividad en Ecuador. Revista de Estadística y Metodologías, 1, 29-53.
(2015). Migration and families left behind. IZA world of labor. Retrived from: https://wol.iza.org/uploads/articles/144/pdfs/migration-and-families-left-behind.pdf
(2005). Determinantes del salario de reserva en el mercado laboral de Cali en el año 2004. Retrieved from: https://biblioteca.clacso.edu.ar/Colombia/cidse-univalle/20190626040847/doc85.pdf
, & (2019). Remittances and credit in developed and developing countries: A dynamic panel analysis. Research in International Business and Finance, 48, 310-320.
(1992). Migration from Nicaragua: some recent evidence. World Development, 20(8), 1209-1218.
(2023). Remittances and labor supply: Evidence from Tunisia. Journal of the Knowledge Economy, 14(2), 1870-1899.
(2007). Emigration, Remittances and Labor Force Participation in Mexico. INTAL - ITD Working Paper 28
, , & (2010). Handbook on Impact Evaluation. Washington, D.C.: The World Bank.
, & (1979). An Empirical Job-Search Model, with a Test of the Constant Reservation-Wage Hypothesis. Journal of Political Economy, 87(1), 89-107. doi: 10.1086/260741
, & (1978). Regression Quantiles. Econometrica, 46(1), 33-50.
, , , & (2022). Los impactos distributivos de la variación de remesas en el Ecuador en tiempos de COVID-19. Revista Científica FIPCAEC (Fomento de la investigación y publicación científico-técnica multidisciplinaria). ISSN: 2588-090X. Polo de Capacitación, Investigación y Publicación (POCAIP), 7(3), 382-409.
(2018). Trickling down or brimming over gains from remittances? Local processes of economic levelling in rural highland Ecuador. Migration and Development, 7(1), 26-39.
, & (2021). Informe sobre las Migraciones en el Mundo 2022. Organización Internacional para las Migraciones (OIM), Ginebra.
, & (2009). International Migration and Gender Differentials in the Home Labor Market: Evidence from Albania. Policy Research Working Paper 4900
(1974). Schooling, experience, and earnings. Human behavior & social institutions no. 2.
, & (2014). Comparable estimates of returns to schooling around the world. World Bank Policy Research Working Paper(7020).
, , , , , , & (2024). Interconnections in the education–migration–labor market chain in Central and Eastern Europe. Retrieved from: https://www.businessperspectives.org/images/pdf/applications/publishing/templates/article/assets/21176/PPM_2024_04_Mukhtarova.pdf
, , & (2020). The impact of migration and remittances on labor supply in Tajikistan. Journal of Asian Economics, 73. doi: 10.1016/j.asieco.2020.10126
, , & (2021). The impact of migration and remittances on labor supply in Tajikistan. Journal of Asian Economics, 73, 101268.
(2012). Remittances and Well-Being. In Elsevier eBooks (pp. 28–34). https://doi.org/10.1016/b978-0-08-047163-1.00050-3.
, & (2021). Relación entre remesas y desigualdad: una mirada al caso de México. Desarrollo y sociedad (89), 117-141.
, & (2016). Quantile Regression with Clustered Data. Journal of Econometric Methods, 5(1), 1-15. doi: 10.1515/jem-2014-0011
, , , y (2024). Remittances Slowed in 2023, Expected to Grow Faster in 2024. World Bank, Washington, DC.
, & (2001). Temporary Migration Overseas and Household Labor Supply: Evidence from Urban Philippines. International Migration Review, 35, 709-725.
, & (2017). Remittances and household expenditure in Nepal: Evidence from cross-section data. Economies, 5(2), 16.
(2018). Beyond altruism and self-interest: the growing importance of external factors in the determination of remittances flowing to Latin America. International Economic Journal, 32(2), 235-255.
(1994). Microeconomía Intermedia: un Enfoque Moderno. 3a. ed. Barcelona: Antoni Bosch
(2015). El cuadro de mando integral: concepto, enfoques y perspectivas. Revista de Investigación, 8(1), 173-185.
World Bank. (2020). El Banco Mundial prevé la mayor caída de remesas de la historia reciente. Retrieved from: https://www.bancomundial.org/es/news/press-release/2020/04/22/world-bank-predicts-sharpest-decline-of-remittances-in-recent-history
, & (2024). Remesas en Ecuador (2007-2023): análisis descriptivo y sus dificultades económicas: Remittances in Ecuador (2007-2023): descriptive analysis and its economic difficulties. Journal Business Science 5(2), 122-138.
, & (2024a). The Nexus of Remittances and Migration: Impacts on Labour Market Dynamics through Bivariate Probit Analysis in Kosovo. Paper presented at the Forum Scientiae Oeconomia.
, & (2024b). Triadic relationship of remittances, migration and labor force. International Journal of Development Issues, 23 (3), 463-488. https://doi.org/10.1108/IJDI-01-2024-0017
1 Hanson (2007) explica que, en la especialización intrafamiliar para el caso de las mujeres, los ingresos por remesas permiten a las familias “recomprar” parte del tiempo de trabajo.
2 Revisar en Parente & Santos Silva (2015) el argumento matemático del estimador y su respectivo test de correlación entre grupos
3 El ingreso de asalariados puede ser monetario o en especie, tanto de la actividad principal como de la secundaria.
4 El ingreso por cuenta propia o como patrono puede ser monetario o de autoconsumo y auto suministro, tanto de la actividad principal como de la secundaria.
5 La descripción de las variables utilizadas para el análisis se encuentra en el Anexo 2, tabla 3.
6 De acuerdo a lo recomendado por la literatura ante la carencia de información (Galassi & Andrada, 2011).