Ejemplos de Banco de Preguntas¶
La siguiente sección muestra ejemplos prácticos de creación y configuración de preguntas dentro del Banco de Preguntas del Aula Virtual. A través de estos casos se ilustran los distintos tipos de preguntas disponibles y las opciones de personalización que ofrece la plataforma para adaptarlas a las necesidades de evaluación de cada docente.
Cada ejemplo incluye pasos detallados, imágenes explicativas y recomendaciones de uso, con el fin de facilitar el aprendizaje sobre cómo diseñar, editar y reutilizar preguntas dentro del entorno Ultra.
Objetivo: Proporcionar una guía visual y didáctica que sirva de referencia para crear bancos de preguntas sólidos, variados y alineados con los objetivos de aprendizaje de la asignatura.
Como crear una pregunta de opción múltiple¶
Esta requiere al alumnado seleccionar una o más respuestas correctas entre varias opciones. No indica a los estudiantes si deben elegir una o varias respuestas, si quiere que el alumnado lo sepa deberá informarlo en la pregunta.
En este caso crearemos una pregunta del tipo opción múltiple, la más usada normalmente. Para ello pulsaremos sobre el “+” dentro del banco de preguntas y hacemos clic sobre “Pregunta de opción múltiple”.
En la parte superior derecha podemos asignar el valor de la pregunta.
Añadimos el texto de la pregunta, podemos darle formato con el editor de texto incluido e incluso adjuntar archivos o imágenes para ampliar la información.
Herramientas de edición
Si desea aprender más sobre la edición de contenido puede ver: Herramientas de edición.
Si marcamos la casilla “permite crédito parcial y negativo”
Podemos definir puntuación negativa por cada respuesta errónea e incluso una puntuación general negativa para la pregunta, restando así en la nota global del examen donde la estemos usando.
A continuación, añadimos las respuestas en cada campo. Por defecto son tres, pero podemos añadir más con el botón “agregar opción”. Marcamos la respuesta o respuestas correctas con los botones situados a la izquierda de cada respuesta.
Si habíamos marcado la opción de puntuación negativa, vemos como aparecen distintos valores para las respuestas positivas y negativas, pudiendo ajustar dichos valores según nuestras necesidades.
Para eliminar un repuesta solo tenemos que hacer clic sobre la papelera correspondiente a la derecha de la respuesta.
Si activamos los comentarios automatizados podemos añadir respuestas automáticas que recibirá el alumnado al ver la corrección de su examen dependiendo de si respondieron correctamente o no a la pregunta.
- Pulsamos el botón guardar para grabar la pregunta en el banco de preguntas.
- Repetimos estas últimas acciones para añadir todas las preguntas necesarias.
Destacamos que con el menú de la izquierda podemos buscar preguntas por palabras clave o por el tipo al que pertenecen. Este filtro podemos ocultarlo para tener más espacio en la edición de preguntas desmarcando el botón “filtrar”.
Para salir de este banco de preguntas pulsamos en el botón de cierre situado en la parte superior izquierda de la página.
En la ventana general de los bancos de preguntas podemos localizar uno en concreto ordenándolos por nombre, por la cantidad de preguntas que contienen o por la fecha en que se editó el banco por última vez. También podemos utilizar el buscador por nombre o descripción si recordamos alguno de estos datos.
Como crear una pregunta de fórmula calculada¶
Esta pregunta requiere que el alumnado realice un cálculo y responda con una respuesta numérica. Los números en la pregunta cambian con cada estudiante y se extraen de un rango que establece el docente. La respuesta correcta es un valor específico o un rango de valores.
Para ello nos dirigimos al banco de preguntas correspondiente y agregamos con el símbolo “+” haciendo clic en pregunta de formula calculada.
Para crearla tenemos que realizar 3 pasos, el primer paso es agregar la formula y el texto de la pregunta. Para que ultra genere los valores de las variables y luego pueda corregir los resultados tenemos que escribir la pregunta siguiendo unas reglas muy sencillas.
En la parte superior derecha podemos asignar el valor de la pregunta.
Las variables que queremos que se generen deben ir rodeadas de corchetes, en el mensaje indica que se usen paréntesis, pero no es correcto.
Una vez definido el problema con las variables que necesitamos, en le cuadro de formula debemos expresar el cálculo, en este caso es la fórmula de la fuerza. En la parte inferior podemos hacer que la formula para el calculo se muestre al alumnado. Hacemos clic en siguiente para completar el paso 2.
En el paso 2 vamos a ajustar los parámetros de las respuestas. Entre ello si queremos una respuesta normal o exponencial, la cantidad de decimales. La parte a prestar más atención es la de “Rango de variables”.
En rango de variable, introducimos el valor mínimo y máximo, los decimales. Así como el conjunto de respuestas posibles diferente que saldrán a cada alumno.
Si, por ejemplo, tenemos un aula con 25 alumnos y quisiéramos tener 25 preguntas diferentes 1 para aumentar que los alumnos no se copien entre ellos, a mayor número de conjuntos de respuestas menos probabilidad que se repitan preguntas. Pulsamos sobre siguiente para pasar al paso 3.
En el paso 3 “Verificación” y ultimo veremos la pregunta de forma completa y en la parte inferior el conjunto de respuestas. Siempre podemos ir a los pasos anteriores haciendo clic en volver y editamos lo que necesitemos.
Importante hay que recordar que cuando estemos de nuevo en el paso 3 debemos pulsar “Volver a completar el conjunto de respuestas” para que los cambios se apliquen en las nuevas respuestas o para generar nuevos valores aleatorios.
También disponemos de “Calcular respuestas” que volverá a realizar los cálculos con los valores actuales.
Si marcamos la opción de “Comentarios automatizados”, podremos incluir la justificación de cual es la respuesta correcta y la incorrecta.
Finalmente, pulsamos guardar.
Como crear una pregunta cálculo numérico¶
Esta requiere al alumnado una respuesta numérica, aunque no es necesario que la pregunta sea una fórmula matemática, puede ser una pregunta de texto.
Para ello accedemos al banco de preguntas de la forma habitual y en dentro del banco de preguntas pulsamos sobre el “+” y agregamos la pregunta de cálculo numérico.
A continuación, completamos los campos de la pregunta. En esta modalidad de pregunta, se pretende que se conteste mediante un valor a una operación matemática o calculo propuesto.
La respuesta se puede hacer mediante la entrada en una caja de texto con o sin rangos de respuesta y se le puede dan opciones a elegir.
La descripción de la pregunta que es como aparecerá en el banco de preguntas.
Entrada de respuesta sin rangos¶
Ahora vamos a crear el contenido de la pregunta para una respuesta de una sola entrada. Completamos el texto de la pregunta, su única respuesta correcta. Importante hay que recordar que el peso o valor de la pregunta por defecto es 1. Este valor se puede modificar de forma sencilla haciendo clic donde pone “1 Punto” y asignando el valor deseado.
Entrada de respuesta con rangos¶
Cuando permitimos una respuesta con rangos, debemos tener en cuenta lo siguiente, como en la configuración de respuesta única, introducimos un valor correcto base en este caso 0 y en el rango el valor máximo o mínimo que permitimos.
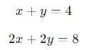
Pregunta: Resuelve el sistema de ecuaciones lineales:
Solución:
- Observamos que la segunda ecuación es simplemente la primera multiplicada por 2. Esto significa que ambas ecuaciones representan la misma línea, por lo que el sistema tiene infinitas soluciones.
- Reescribimos la primera ecuación para obtener y en términos de x:
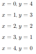
Resultado: Cualquier par (x,y) que cumpla y=4−x es una solución del sistema. Por ejemplo:
El sistema tiene infinitas soluciones del tipo (x,4−x). Como vemos el sistema tiene el rango de posibles soluciones entre 0 y 4 por lo que en la respuesta base ponemos 0 y el rango ponemos 4, de esta forma se permitiría las múltiples respuestas.
Como crear una pregunta de ensayo¶
Esta requiere al alumnado una respuesta escrita en un cuadro de texto habilitado para ello. El profesorado debe calificar estas preguntas manualmente. Accedemos al banco de preguntas y agregamos la pregunta de ensayo.
Al ser una pregunta de ensayo, se deben especificar las condiciones a cumplir para que el alumnado cumpla con los criterios de la respuesta. Por ejemplo:
Título: Impacto de las tecnologías emergentes en la educación
Pregunta:
"En los últimos años, el avance de las tecnologías emergentes, como la inteligencia artificial, la realidad aumentada y el aprendizaje automático, ha transformado el panorama educativo. Reflexiona sobre cómo estas tecnologías han afectado la forma en que los estudiantes aprenden y los profesores enseñan. En tu respuesta, discute al menos dos tecnologías emergentes y proporciona ejemplos concretos de su aplicación en el ámbito educativo. Finalmente, menciona las posibles ventajas y desventajas de su implementación."
Instrucciones adicionales:
- Tu respuesta debe tener entre 300 y 500 palabras.
- Cita al menos una fuente para respaldar tus ideas.
- Asegúrate de estructurar tu ensayo con una introducción, un cuerpo argumentativo y una conclusión.
Herramientas de edición
Si desea aprender más sobre la edición de contenido puede ver: Herramientas de edición.
Como crear una pregunta de rellenar el espacio en blanco¶
Esta consiste en una frase, oración o párrafo con uno o varios espacios en blanco donde el alumnado debe introducir la palabra o palabras que faltan.
Para generar los espacios a completar, se emplean los corchetes [respuesta] para indicar donde ira la respuesta:
- El color del cielo es [azul]
Para crear una pregunta con múltiples respuestas correctas, separamos las respuestas con punto y coma “;”:
- Uno de los colores primarios es [rojo; azul; amarillo].
Para crear una pregunta con varias repuestas solo debemos agregar más cajas con corchetes:
- El sistema operativo más utilizado en computadoras personales es [Windows; windows], mientras que el sistema operativo de código abierto más popular es [Linux; linux]. Consejo, como ves en esta última pregunta, las respuestas tienen la letra inicial en mayúsculas o minúsculas, esto es para que tome como correctas ambas formas al escribirlo.
También puede usar expresiones regulares, para definir la respuesta. Las expresiones regulares (o "regex", por su nombre en inglés regular expressions) son una herramienta utilizada en programación y en otros contextos para buscar y manipular texto de manera eficiente.
Son un conjunto de caracteres y símbolos que forman un patrón que puedes usar para identificar, extraer, o modificar partes específicas de un texto.
Imagina que son una "fórmula" para encontrar coincidencias en un texto. Por ejemplo, podrías usarlas para:
- Buscar todas las palabras que empiezan con una letra específica.
- Encontrar números dentro de un texto.
- Verificar si una cadena de texto tiene un formato específico (como un correo electrónico o un número de teléfono).
Ejemplo sencillo:
- Si quisieras encontrar cualquier palabra que empiece con "a" y termine con "o", podrías usar una expresión regular como esta: a.*o. Esto encontraría palabras como "auto" o "avión".
Aunque al principio pueden parecer complicadas, las expresiones regulares son muy útiles cuando necesitas trabajar con texto de manera precisa.
Si quisieras generalizar la escritura de la última pregunta con expresiones regulares:
- El sistema operativo más utilizado en computadoras personales es [[Ww]indows], mientras que el sistema operativo de código abierto más popular es [[Ll]inux].
- Explicación:
- [Ww]indows permite que la respuesta sea "Windows" o "windows" (aceptando la primera letra en mayúscula o minúscula).
- [Ll]inux permite que la respuesta sea "Linux" o "linux" (también aceptando la primera letra en mayúscula o minúscula).
- Explicación:
- El sistema operativo más utilizado en computadoras personales es [[Ww][Ii][Nn][Dd][Oo][Ww][Ss]], mientras que el sistema operativo de código abierto más popular es [[Ll][Ii][Nn][Uu][Xx]].
- Explicación:
- [[Ww][Ii][Nn][Dd][Oo][Ww][Ss]] permite aceptar cualquier combinación de mayúsculas y minúsculas para "Windows", como: "Windows", "windows", "WINDOWS", "WinDoWs", etc.
- [[Ll][Ii][Nn][Uu][Xx]] hace lo mismo para "Linux", aceptando variaciones como "Linux", "linux", "LINUX", "LiNuX", etc.
- Explicación:
Simplifica las respuestas
Aunque si quieres simplificar, el uso de este tipo de respuestas puedes indicar en la pregunta que todas las respuestas se escriban en minúsculas o mayúsculas coincidiendo como estén escritas.
Diseñada la pregunta, pulsamos sobre “Paso siguiente”. Nos presenta, una serie de opciones para configurar de forma pormenorizada las opciones de las respuestas.
Nos muestra cómo se presentaría la pregunta al alumnado.
Podemos ajustar cada una de las respuestas de forma individual y corregir el contenido de la respuesta correcta. Como estamos empleando expresiones regulares debemos cambiar el tipo de respuesta a “Coincidencia con un patrón”.
Podemos verificar el correcto funcionamiento de nuestra expresión regular o patrón, haciendo clic en el botón “Patrón de examen”.
Al hacer clic sobre “Examen”, nos despliega otra caja de entrada donde podemos hacer una prueba para comprobar que evalúa bien las respuestas introducidas. Solo debemos introducir el texto y hacer clic en “Examen”
Al introducir la respuesta errónea vemos que nos indica que no es correcta de forma que detecta que no coincide con el patrón.
Ahora pasamos a probar si detecta las dos opciones correctas Windows o Windows. Vemos que marca con un aspa verde que ambas cumplen con el patrón.
La última opción nos permite establecer el modo en que se puntuara la respuesta, que es “Todo o nada” o “Permitir crédito parcial”.
En Ultra, al crear preguntas de rellenar espacios en blanco, tienes dos opciones de puntuación:
-
Todo o nada: El estudiante solo recibe la puntuación completa si responde todos los espacios en blanco correctamente. Si falla uno o más, no obtiene ningún punto.
-
Permitir crédito parcial: En esta opción, el estudiante puede recibir puntos parciales por cada respuesta correcta. Si acierta algunos espacios en blanco, pero no todos, recibirá una puntuación proporcional al número de respuestas correctas.
- Se fracciona el valor de la pregunta, en este caso es de 1 punto y esta pregunta tiene 2 respuestas el valor ser de 0,5 por respuesta.
Esto permite más flexibilidad en la evaluación, especialmente si la pregunta tiene varios espacios en blanco.
Como crear una pregunta de zona activa¶
Las preguntas de zona activa son una herramienta interactiva en la que los estudiantes deben colocar marcadores en una imagen para identificar una o varias zonas definidas por el profesor. Este tipo de pregunta es versátil y útil en muchas disciplinas:
- Anatomía: Identificar partes del cuerpo.
- Geografía: Marcar ubicaciones en un mapa.
- Lenguas extranjeras: Seleccionar objetos específicos, como prendas de ropa.
- Biología o ecología: Determinar qué especies pertenecen a un hábitat.
Las posibilidades son amplias, adaptándose a distintos contextos educativos.
Tipos de preguntas de zona activa:
- Zona activa estándar:
- Los estudiantes colocan marcadores en una imagen, dentro de zonas definidas por el profesor, pero no saben dónde están las zonas activas.
- Zona activa de opción múltiple:
- Los estudiantes colocan marcadores en una imagen donde las zonas activas están visibles.
- Solo una zona es correcta, mientras que las demás son distractores.
- Zona activa de respuestas múltiples:
- Los estudiantes colocan marcadores en una imagen con zonas activas visibles.
- Varias zonas pueden ser correctas, mientras que las restantes son distractores.
Este tipo de pregunta fomenta la interacción y el aprendizaje visual, adaptándose a diversas necesidades pedagógicas.
Esta requiere que el alumnado marque uno o más puntos de una imagen. De nuevo regresamos al menú del banco de preguntas y seleccionamos. Pulsamos sobre el “+” y hacemos clic sobre “Pregunta de zona activa”.
Subimos la imagen base que queramos emplear para la pregunta, para este ejemplo vamos a usar la vista interior de una célula animal.
Para ello en la parte central del editor de la pregunta arrastramos la imagen o usamos el explorador de archivos desde “Cargar desde el dispositivo”.
Una vez subida la imagen, podemos ingresar el texto para la pregunta, y marcar las zonas de respuesta o activas en las que responderá el alumnado.
Justo en la parte superior de la imagen contamos con una serie de opciones para delimitar las zonas activas de la respuesta o respuestas, eliminar las zonas activas o eliminar todo.
Para agregar una zona activa disponemos de una forma cuadrada, una forma redonda o un trazado libre:
En el caso de la forma cuadrada y redonda al hacer clic sitúa en el centro de la imagen un icono con la forma correspondiente y un número en la parte superior:
Una vez introducimos podemos colocar las formas en el área donde sea la respuesta correcta para ello solo tenemos que situar el cursor en el borde punteado de la forma activa y el cursor cambiara a la forma de arrastrar y soltar:
Click Izquierdo + Arrastrar
Si necesitamos ajustar el tamaño del área activa solo debemos arrastrar desde los cuadros blancos para hacer el área más grande o pequeña.
Para crear una forma personalizada de área activa, haremos clic sobre el tercer icono:
El cursor cambiara a la forma de un lápiz y al hacer clic podremos ir dibujando un polígono con la forma deseada. Para finalizar la forma debemos unir el último punto con el primer punto que introduzcamos.
De esta forma, al finalizar aparecerá en la última unión el número del área lo que nos indicará que el área fue creada de forma correcta.
Una vez creadas todas las áreas activas tenemos que asociar cada área con su respuesta correcta. En el ejemplo que estamos creando hemos generado 9 áreas activas:
Ultra genera una entrada de texto para cada una de las áreas activas para que podamos introducir las respuestas correctas para la corrección.
Como crear una pregunta de correspondencia¶
Los estudiantes tendrán que emparejar elementos de la columna de Indicaciones con elementos de la columna de Respuestas. Nos dirigimos al banco de preguntas y seleccionamos la opción de pregunta con correspondencia.
Introduciremos la pregunta y las instrucciones para resolver la cuestión. Por defecto, Ultra configura la pregunta con tres respuestas a responder.
Debemos completar las que están para generar una pregunta correcta, en caso de necesitar menos quitamos mediante el icono de la papelera tanto como deseemos, en caso de necesitar más pulsamos sobre “Agregar par”. Ultra también nos permite agregar respuestas incorrectas.
Al introducir más pares de respuestas, el sistema auto ajusta la puntuación. Esta pregunta vale 1 punto, al tener 3 respuesta el valor de cada repuesta era del 33% al introducir otra respuesta, auto ajusta el valor de la respuesta al 25%.
Como crear una pregunta de verdadero/falso¶
Esta requiere al alumnado elegir entre verdadero o falso en respuesta a una pregunta enunciada. Nos dirigimos al banco de preguntas y agregados la pregunta con la opción “Pregunta de verdadero/Falso”
Completamos los campos y marcamos cual es la respuesta correcta si verdadero o falso.
Como reutilizar preguntas¶
En Ultra, la reutilización de preguntas te permite aprovechar preguntas ya creadas en otros exámenes, bancos de preguntas o ejercicios, ahorrando tiempo y asegurando consistencia.
Para reutilizar preguntas, puedes acceder al banco de preguntas y seleccionar la opción “Reutilizar preguntas”.
Desde allí, puedes buscar y seleccionar preguntas específicas para incorporarlas en nuevos exámenes o cuestionarios.
Esto es útil para crear evaluaciones acumulativas, cuestionarios de repaso, o exámenes con preguntas comunes, sin necesidad de redactar nuevas cada vez.
También puedes filtrar por tipo de pregunta, categoría, o palabras clave para localizar fácilmente lo que necesitas.
Al copiarse de forma correcta aparece el mensaje:




























































